精英家教网 > 初中数学 > 题目详情

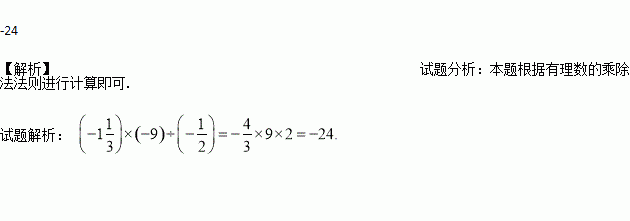
(-1)×(-9)÷(-

练习册系列答案
相关习题

科目:初中数学 来源: 题型:解答题

17.实数x在数轴上的位置如图所示,试化简:|x+2|-$\sqrt{(-x)^{2}}$-2$\sqrt{9-6x+{x}^{2}}$.

查看答案和解析>>

科目:初中数学 来源:2017届江苏省无锡市九年级下学期第一次模拟考试数学试卷(解析版) 题型:填空题

在平面直角坐标系中,点O为坐标原点,A、B、C三点的坐标为(,0)、(3,0)、(0,5),点D在第一象限,且∠ADB=60º,则线段CD的长的最小值为______.

查看答案和解析>>

科目:初中数学 来源:2017届江苏省无锡市九年级下学期第一次模拟考试数学试卷(解析版) 题型:单选题

的绝对值是( )

A. B. - C. 2 D. -2

查看答案和解析>>

科目:初中数学 来源:2016-2017学年北京市西城区七年级上学期期末考试数学试卷(解析版) 题型:解答题

解方程组:

查看答案和解析>>

科目:初中数学 来源:2016-2017学年北京市西城区七年级上学期期末考试数学试卷(解析版) 题型:填空题

对于有理数m,n,我们规定mn=mn-n,例如35=3×5-5=10,则(-6)4=________。

查看答案和解析>>

科目:初中数学 来源: 题型:填空题

1.如图,在⊙O中,AB是直径,CD是弦,AB⊥CD于点H,DC=AH,连接AD、AC,点F在弦AE上,连接DF、CF,∠DFE=∠CAH,∠CFE=∠CAD,CH=$\sqrt{37}$,则AF长为5.

查看答案和解析>>

科目:初中数学 来源: 题型:填空题

16.将1、$\sqrt{2}$、$\sqrt{3}$、$\sqrt{6}$按如图方式排列,若规定(m,n)表示第m排的第n个数,如(4,2)表示的数是 $\sqrt{6}$,则(5,4)与(18,15)表示的两数之积是2$\sqrt{3}$.

查看答案和解析>>

科目:初中数学 来源: 题型:填空题

16.按照如图所示的操作步骤,若输入x的值为3,则输出的值为31

查看答案和解析>>

同步练习册答案