精英家教网 > 初中数学 > 题目详情

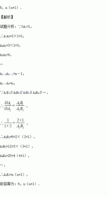
如图,点A1、A2、A3、…,点B1、B2、B3、…,分别在射线OM、ON上,A1B1∥A2B2∥A3B3∥A4B4∥….如果A1B1=2,A1A2=2OA1,A2A3=3OA1,A3A4=4OA1,….那么A2B2= ,AnBn= .(n为正整数)

练习册系列答案
相关习题

科目:初中数学 来源:2016届海南琼海嘉积中学中考模拟(一)数学试卷(解析版) 题型:选择题

若甲、乙、丙、丁四位同学一学期4次数学测试的平均成绩恰好都是85分,方差分别为S甲2=0.80,S乙2=1.31,S丙2=1.72,S丁2=0.42,则成绩最稳定的同学是( )

A.甲 B.乙 C.丙 D.丁

查看答案和解析>>

科目:初中数学 来源:2016届河北沧州南皮县中考模拟数学试卷(解析版) 题型:填空题

如图,边长为1的正方形ABCD的顶点A、B在一个半径为1的圆上,顶点C、D在该圆内.将正方形ABCD绕点A逆时针旋转,当点D第一次落在圆上时,点C运动的路线长为_________.

查看答案和解析>>

科目:初中数学 来源:2016届河北沧州南皮县中考模拟数学试卷(解析版) 题型:选择题

下列运算正确的是( )

A.a2·a3=a6B.

C.D. +=

查看答案和解析>>

科目:初中数学 来源:2016届安徽省芜湖市中考二模试卷数学试卷(解析版) 题型:解答题

如图,某数学兴趣小组想测量一棵树CD的高度,他们先在点A处测得树顶C的仰角为30°,然后沿AD方向前行10m,到达B点,在B处测得树顶C的仰角高度为60°(A、B、D三点在同一直线上).请你根据他们测量数据计算这棵树CD的高度(结果精确到0.1m).(参考数据:≈1.414,≈1.732)

查看答案和解析>>

科目:初中数学 来源:2016届安徽省芜湖市中考二模试卷数学试卷(解析版) 题型:选择题

某超市举行购物“翻牌抽奖”活动,如图所示,四张牌分别对应价值5,10,15,20(单位:元)的四件奖品,如果随机翻两张牌,且第一次翻过的牌不再参加下次翻牌,则所获奖品总价值不低于30元的概率为( )

A. B. C. D.

查看答案和解析>>

科目:初中数学 来源:2016届安徽省芜湖市中考二模试卷数学试卷(解析版) 题型:选择题

2的相反数是( )

A.﹣2B.2C. D.

查看答案和解析>>

科目:初中数学 来源:2016届福建福州永泰县中考模拟试卷数学试卷(解析版) 题型:选择题

如图,有一圆心角为120°,半径长为6cm的扇形,若将OA、OB重合后围成一圆锥侧面,那么圆锥的高是( )

A.4cm B. cm C.2cm D.2cm

查看答案和解析>>

科目:初中数学 来源:2016届福建厦门外国语学校海沧附属校九年级下月考数学卷(解析版) 题型:解答题

如图,四边形ABCD是矩形,把矩形沿对角线AC折叠,点B落在点E处,CE与AD相交于点O.

(1)求证:△AOE≌△COD;

(2)若∠OCD=30°,AB=,求△AOC的面积.

查看答案和解析>>

同步练习册答案