精英家教网 > 初中数学 > 题目详情

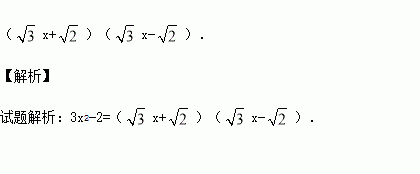
在实数范围内因式分解3x2-2=

练习册系列答案
相关习题

科目:初中数学 来源:2015-2016学年江苏宜城环科园教学联盟八年级下第一次月考数学试卷(解析版) 题型:选择题

从标号分别为1、2、3、4、5的5张卡片中,随机抽出1张。下列事件中,必然事件是( )

A、标号小于6 B、标号大于6 C、标号是奇数 D、标号是3

查看答案和解析>>

科目:初中数学 来源:2015-2016学年江苏省盐城市东台市一教八年级下第一次月考数学试卷(解析版) 题型:填空题

如图,在四边形ABCD中,AB∥DC,AD=BC=5,DC=7,AB=11,点P从点A出发,以3个单位/s的速度沿AD→DC向终点C运动,同时点Q从点B出发,以1个单位/s的速度沿BA向终点A运动,在运动期间,当四边形PQBC为平行四边形时,运动时间为 秒.

查看答案和解析>>

科目:初中数学 来源:2015-2016学年江苏省扬州市八年级下第一次月考数学试卷(解析版) 题型:解答题

已知矩形ABCD的一条边AD=8,E是BC边上的一点,将矩形ABCD沿折痕AE折叠,使得顶点B落在CD边上的点P处,PC=4(如图1).

(1)求AB的长;

(2)擦去折痕AE,连结PB,设M是线段PA的一个动点(点M与点P、A不重合).N是AB沿长线上的一个动点,并且满足PM=BN.过点M作MH⊥PB,垂足为H,连结MN交PB于点F(如图2).

①若M是PA的中点,求MH的长;

②试问当点M、N在移动过程中,线段FH的长度是否发生变化?若变化,说明理由;若不变,求出线段FH的长度.

查看答案和解析>>

科目:初中数学 来源:2015-2016学年江苏省扬州市八年级下第一次月考数学试卷(解析版) 题型:解答题

先化简,再求值:2(a+)(a-)-a(a-6)+6,其中a=-1.

查看答案和解析>>

科目:初中数学 来源:2015-2016学年江苏省扬州市八年级下第一次月考数学试卷(解析版) 题型:填空题

使有意义的x的取值范围是

查看答案和解析>>

科目:初中数学 来源:2015-2016学年江苏省扬州市八年级下第一次月考数学试卷(解析版) 题型:选择题

下列二次根式中与是同类二次根式的是( )

A. B. C. D.

查看答案和解析>>

科目:初中数学 来源:2015-2016学年江苏省宿迁市七年级下第一次月考数学卷(解析版) 题型:填空题

如图,已知△ABC为直角三角形,∠C=90°,若沿图中虚线剪去∠C,则∠1+∠2等于 度.

查看答案和解析>>

科目:初中数学 来源:2016届辽宁省盘锦市九年级第六次月考数学试卷(解析版) 题型:解答题

如图,在平面直角坐标系中,△ABC 的顶点坐标是A(-5,5),B(-1,-3),C(-3.-1)按要求画出变换后的图形:

(1)画出△ABC关于y轴对称的△A1B1C1

(2)以原点O为旋转中心,把△A1B1C1逆时针旋转90°,得到△A2B2C2

(3)若将△ABC向右平移m个单位,向上平移n个单位,使点C落在△A2B2C2内部,指出m、n的取值范围.

查看答案和解析>>

同步练习册答案