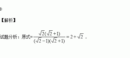
精英家教网 > 初中数学 > 题目详情

化简的结果是( )

A. B. C. 1 D.

练习册系列答案
相关习题

科目:初中数学 来源:2015-2016学年北大附中河南分校八年级3月月考数学试卷(解析版) 题型:选择题

下列事件中属于随机事件的是( )

A.抛出的篮球会落下 B.从装有黑球,白球的袋里摸出红球

C.367人中有2人是同月同日出生 D.买1张彩票,中500万大奖

查看答案和解析>>

科目:初中数学 来源:2015-2016学年安徽省宁国市D片七年级期中联考数学试卷(解析版) 题型:填空题

用科学计数法表示-0.0000207 = ______________________

查看答案和解析>>

科目:初中数学 来源:2015-2016学年安徽省八年级下第一次月考数学卷(解析版) 题型:填空题

在实数范围内分解因式:

查看答案和解析>>

科目:初中数学 来源:2015-2016学年安徽省八年级下第一次月考数学卷(解析版) 题型:填空题

已知,则的值为 .

查看答案和解析>>

科目:初中数学 来源:2015-2016学年安徽省八年级下第一次月考数学卷(解析版) 题型:选择题

要使二次根式 在实数范围内有意义,则x的取值范围是( )

A. B. C. D.

查看答案和解析>>

科目:初中数学 来源:2016届山东省九年级下学期阶段检测数学试卷(解析版) 题型:填空题

如图,抛物线y=x2在第一象限内经过的整数点(横坐标、纵坐标都为整数的点)依次为A1,A2,A3…An,….将抛物线y=x2沿直线L:y=x向上平移,得一系列抛物线,且满足下列条件:①抛物线的顶点M1,M2,M3,…Mn,…都在直线L:y=x上;②抛物线依次经过点A1,A2,A3…An,….则顶点M2014的坐标为_______.

查看答案和解析>>

科目:初中数学 来源:2015-2016学年山东省文慧学校七年级下第一次月考数学试卷(解析版) 题型:解答题

如图,直线AB,CD被直线EF所截,∠1=∠2,AB∥CD吗?为什么?

查看答案和解析>>

科目:初中数学 来源:2015-2016学年山东省七年级下第一次月考数学试卷(解析版) 题型:选择题

如图,如果AB∥CD,那么下面说法错误的是()

A.∠3=∠7 B.∠2=∠6 C、∠3+∠4+∠5+∠6=1800 D、∠4=∠8

查看答案和解析>>

同步练习册答案