精英家教网 > 初中数学 > 题目详情
3.在正方形ABCD外侧作直线AP,点B关于直线AP的对称点为E,连接BE,DE,其中DE交直线AP于点F.
(1)依题意补全图1;(画图工具不限)
(2)若∠PAB=25°,求∠ADF的度数;
(3)如图2,若60°<∠PAB<90°,用等式表示线段AB,FE,FD之间的数量关系,并证明.

分析 (1)直接利用对称点作法得出E点位置进而得出答案;
(2)利用轴对称的性质以及等腰三角形的性质得出即可;
(3)由轴对称的性质可得:EF=BF,AE=AB=AD,∠ABF=∠AEF=∠ADF,进而利用勾股定理得出即可.

解答 解:(1)如图1所示:(保留作图迹)


(2)如图2,

连接AE,则∠PAB=∠PAE=25°,AE=AB=AD,
∵四边形ABCD是正方形,
∴∠BAD=90°,
∴∠EAD=140°,
∴∠ADF=20°;

(3)BF2+FD2=2AB2
理由:如图3,

连接AE,BF,BD,
由轴对称的性质可得:EF=BF,AE=AB=AD,∠ABF=∠AEF=∠ADF,
则∠BFD=∠BAD=90°,
故BF2+FD2=BD2
则BF2+FD2=2AB2

点评 此题主要考查了复杂作图以及对称点的性质和正方形的性质以及勾股定理等知识,熟练应用轴对称的性质得出是解题关键.

练习册系列答案
相关习题

科目:初中数学 来源: 题型:解答题

13.根据题意完成下列推理过程:
已知:如图,AB∥DE,求证:∠D+∠BCD-∠B=180°.
证明:过点C作CF∥AB.
∵AB∥CF(已知),
∴∠B=∠1 (两直线平行,内错角相等 ).
∵AB∥DE,CF∥AB(已知),
∴CF∥DE (平行于同一条直线的两条直线互相平行 ).
∴∠2+∠D=180°(两直线平行,同旁内角互补 ).
∵∠2=∠BCD-∠1 (已知),
∴∠D+∠BCD-∠B=180°(等量代换).

查看答案和解析>>

科目:初中数学 来源: 题型:解答题

14.某校欲购买A、B两种树木共20棵绿化校园,已知A种树木单价为900元/棵,B种树木单价为400元/棵.
(1)若学校计划购买两种树木的所需费用为10000元,求计划购得A、B两种树木各多少棵?
(2)在实际购买时发现商家推出优惠活动:B种树木单价不变,A种树木每多买一棵单价降低50元,即只买一棵时,每棵900元,购买两棵时,每棵850元,…,依此类推,但是每棵最低单价不得低于550元.设购买A种树木x棵(x为正整数).
①求学校实际购买时所需费用W(元)与购买A种树木x棵之间的函数关系式,并写出x相应的取值范围;
②求学校实际购买时所需费用W(元)最小的方案;
?若学校为了节约经费,现决定购买两种树木的所需费用低于9200元,请问购买A种树木最多2棵(直接写答案)

查看答案和解析>>

科目:初中数学 来源: 题型:解答题

11.如图,直角坐标系中,P(3,y)是第一象限内的点,且$tanα=\frac{4}{3}$,求sinα.

查看答案和解析>>

科目:初中数学 来源: 题型:解答题

18.如图,在Rt△ABC中,∠ACB=90°.AC=3,cosB=$\frac{4}{5}$
(1)先作∠ABC的平分线交AC边于点O,再以点O为圆心,OC为半径作⊙O(要求:尺规作图,保留作图痕迹,不写作法);
(2)请你判断(1)中AB与⊙O的位置关系,证明你的结论,并求出OC的长.

查看答案和解析>>

科目:初中数学 来源: 题型:填空题

8.如图,AB∥CD,BC平分∠ECD交AB于点B,若∠EAB=60°,则∠BCD=30°.

查看答案和解析>>

科目:初中数学 来源: 题型:解答题

15.计算下列各题
(1)4÷(-2)-5×(-3)+6.              
(2)$-{1^4}-\frac{1}{6}×[5-{(-3)^2}]$.

查看答案和解析>>

科目:初中数学 来源: 题型:选择题

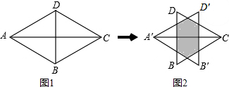
12.如图1,两个等边△ABD,△CBD的边长均为2,将△ABD沿AC方向向右平移k个单位到△A′B′D′的位置,得到图2,则下列说法:①阴影部分的周长为4;②当k=1时,图中阴影部分为正六边形;③若阴影部分和空白部分的面积相等,则k=$\frac{\sqrt{3}}{2}$.其中正确的说法是(  )
A.B.①②C.②③D.①②③

查看答案和解析>>

科目:初中数学 来源: 题型:选择题

13.下列运算正确的是(  )
A.3-1=-3B.$\sqrt{9}$=±3C.(ab23=a3b6D.a2+a3=a5

查看答案和解析>>

同步练习册答案