精英家教网 > 初中数学 > 题目详情

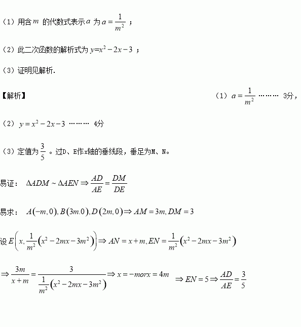
如图,抛物线(其中是常数,且)与x轴分别交于点(点A位于点B的左侧),与y轴交于点C(0,-3),

(1)用含的代数式表示

(2)若AB=4,求此二次函数的解析式;

(3)若点D在该抛物线上,CD∥AB,连接AD.过点A作射线AE交抛物线于点E,AB平分∠DAE,

求证: 为定值;

练习册系列答案
相关习题

科目:初中数学 来源:北京市2016-2017学年七年级(下)期末模拟数学试卷 题型:解答题

列方程组解应用题.

某工厂经审批,可生产纪念北京申办2022年冬奥会成功的帽子和T恤.若两种纪念品共生产6000件,且T恤比帽子的2倍多300件.问生产帽子和T恤的数量分别是多少?

查看答案和解析>>

科目:初中数学 来源:【全国省毕业学业考试模拟试卷数学试卷 题型:单选题

下图是由6个相同的小立方块搭成的几何体,那么这个几何体的俯视图是 (  )

A. B. C. D.

查看答案和解析>>

科目:初中数学 来源:【全国区级联考】四川省毕业生升学考试数学模拟试卷 题型:单选题

如图,点P是定线段OA上的动点,点P从O点出发,沿线段OA运动至点A后,再立即按原路返回至点O停止,点P在运动过程中速度大小不变,以点O为圆心,线段OP长为半径作圆,则该圆的周长l与点P的运动时间t之间的函数图象大致为( )

A. B. C. D.

查看答案和解析>>

科目:初中数学 来源:【全国区级联考】四川省毕业生升学考试数学模拟试卷 题型:单选题

在一次歌唱比赛中,10名评委给某一歌手打分如下表:

成绩(分)

8.9

9.3

9.4

9.5

9.7

9.8

评委(名)

1

2

1

4

1

1

则这名歌手成绩的中位数和众数分别是( )

A. 9.3, 2 B. 9.5 ,4 C. 9.5,9.5 D. 9.4 ,9.5

查看答案和解析>>

科目:初中数学 来源:【全国区级联考】湖南省株洲市石峰区2016年中考数学模拟(三)试卷 题型:解答题

我区某校分别于2014年、2015年随机调查相同数量的学生,对数学课开展小组合作学习的情况进行调查(开展情况分为较少、有时、常常、总是四种),绘制成部分统计图如下.请根据图中信息,解答下列问题:

(1)a=   %,b=   %,“总是”对应阴影的圆心角为   °;

(2)请你补全条形统计图;

(3)若该校2015年共有1200名学生,请你统计其中认为数学课“总是”开展小组合作学习的学生有多少名?

(4)数学课开展小组合作学习的情况有何变化?

查看答案和解析>>

科目:初中数学 来源:【全国区级联考】湖南省株洲市石峰区2016年中考数学模拟(三)试卷 题型:填空题

双曲线与直线有一个交点为,那么的值是_______ 。

查看答案和解析>>

科目:初中数学 来源:【全国区级联考】四川省资阳市雁江区2017届九年级5月适应性考试数学试卷 题型:解答题

如图,已知直线y=ax+b与双曲线y=(x>0)交于A(x1,y1),B(x2,y2)两点(A与B不重合),直线AB与x轴交于P(x0,0),与y轴交于点C.

(1)若A,B两点坐标分别为(1,3),(3,y2),求点P的坐标.

(2)若b=y1+1,点P的坐标为(6,0),且AB=BP,求A,B两点的坐标.

(3)结合(1),(2)中的结果,猜想并用等式表示x1,x2,x0之间的关系(不要求证明).

查看答案和解析>>

科目:初中数学 来源:山东省滨州博兴县2017届九年级学业水平模拟数学试卷 题型:单选题

若关于x的不等式组的整数解共有4个,则m的取值范围是(  )

A. 6<m<7 B. 6≤m<7 C. 6<m≤7 D. 3≤m<4

查看答案和解析>>

同步练习册答案