精英家教网 > 初中数学 > 题目详情

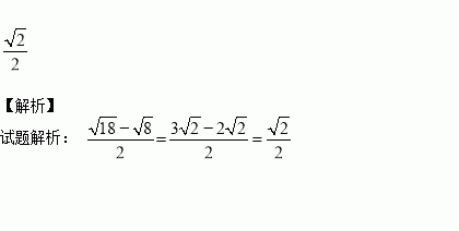
计算: _________________.

练习册系列答案
相关习题

科目:初中数学 来源:2015-2016学年福建省福鼎市南片区联考(下)期中测试八年数学试卷(解析版) 题型:单选题

如图,△ABC中,∠C=90°,AC=3,∠B=30°,点P是BC边上的动点,则AP的长不可能是( )

A. 3.5 B. 4.2 C. 5.8 D. 7

查看答案和解析>>

科目:初中数学 来源:2016-2017学年重庆市沙坪坝区四校联盟七年级下学期期中考试数学试卷(解析版) 题型:填空题

已知关于x的方程3x-2m=4的解是x=m,则m的值是_______

查看答案和解析>>

科目:初中数学 来源:2016-2017学年四川省广安市岳池县八年级下学期期中质量检测数学试卷(解析版) 题型:解答题

如图,四边形ABCD是菱形,对角线AC=8cm,BD=6cm,DH⊥AB于H,求DH的长。

查看答案和解析>>

科目:初中数学 来源:2016-2017学年四川省广安市岳池县八年级下学期期中质量检测数学试卷(解析版) 题型:填空题

在平面直角坐标系中有以下几点:A(0,0),B(2,3),C(4,0),若以A、B、C为顶点,作一个平行四边形, 请写出第四个顶点的位置坐标________________.

查看答案和解析>>

科目:初中数学 来源:2016-2017学年四川省广安市岳池县八年级下学期期中质量检测数学试卷(解析版) 题型:单选题

如图,在△ABC中,AB=6,AC=10,点D,E,F分别是AB,BC,AC的中点,则四边形ADEF的周长为( )

A. 8 B. 10 C. 12 D. 16

查看答案和解析>>

科目:初中数学 来源:2017届湖南省祁阳县中考二模数学试卷(解析版) 题型:解答题

如图,Rt△ABO的两直角边OA、OB分别在x轴的负半轴和y轴的正半轴上,O为坐标原点,A、B两点的坐标分别为(,0)、(0,4),抛物线经过B点,且顶点在直线上.

(1)求抛物线对应的函数关系式;

(2)若△DCE是由△ABO沿x轴向右平移得到的,当四边形ABCD是菱形时,试判断点C和点D是否在该抛物线上,并说明理由;

(3)若M点是CD所在直线下方该抛物线上的一个动点,过点M作MN平行于y轴交CD于点N.设点M的横坐标为t,MN的长度为l.求l与t之间的函数关系式,并求l取最大值时,点M的坐标.

查看答案和解析>>

科目:初中数学 来源:2017届湖南省祁阳县中考二模数学试卷(解析版) 题型:单选题

如图,AB是⊙O的直径,∠AOC=110°,则∠D=( )

A. 25° B. 35° C. 55° D. 70°

查看答案和解析>>

科目:初中数学 来源:2016-2017学年江苏省无锡市七年级3月月考数学试卷(解析版) 题型:填空题

如图,AB∥CD,CE平分∠BCD,∠DCE=18°,则∠B=

查看答案和解析>>

同步练习册答案