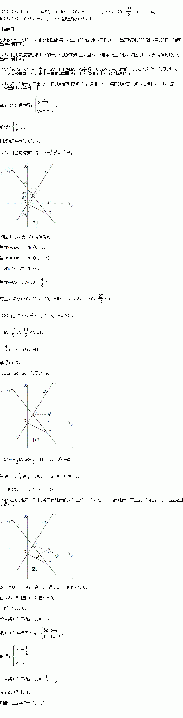
(2015秋•镇江期末)如图:在平面直角坐标系xOy中,已知正比例函数y=
与一次函数y=﹣x+7的图象交于点A.
![]()
(1)求点A的坐标;
(2)在y轴上确定点M,使得△AOM是等腰三角形,请直接写出点M的坐标;
(3)如图、设x轴上一点P(a,0),过点P作x轴的垂线(垂线位于点A的右侧),分别交y=
和y=﹣x+7的图象于点B、C,连接OC,若BC=
OA,求△ABC的面积及点B、点C的坐标;
(4)在(3)的条件下,设直线y=﹣x+7交x轴于点D,在直线BC上确定点E,使得△ADE的周长最小,请直接写出点E的坐标.
科目:初中数学 来源:2015-2016学年山东省济宁市嘉祥县八年级上学期期末数学试卷(解析版) 题型:解答题
(2015秋•嘉祥县期末)阅读与思考:整式乘法与因式分解是方向相反的变形,由(x+p)(x+q)=x2+(p+q)x+pq得,x2+(p+q)x+pq=(x+p)(x+q);利用这个式子可以将某些二次项系数是1的二次三项式分解因式,例如:将式子x2﹣x﹣6分解因式.这个式子的常数项﹣6=2×(﹣3),一次项系数﹣1=2+(﹣3),这个过程可用十字相乘的形式形象地表示:先分解常数项,分别写在十字交叉线的左上角和左下角;再分解常数项,分别写在十字交叉线的右上角和右下角;然后交叉相乘,求代数和,使其等于一次项系数.如图所示.这种分解二次三项式的方法叫“十字相乘法”,请同学们认真观察,分析理解后,解答下列问题.
(1)分解因式:x2+7x﹣18.
(2)填空:若x2+px﹣8可分解为两个一次因式的积,则整数p的所有可能值是 .
![]()
查看答案和解析>>
科目:初中数学 来源:2015-2016学年山东省菏泽市单县七年级上学期期末数学试卷(解析版) 题型:选择题
(2015•漳州)下列调查中,适宜采用普查方式的是( )
A.了解一批圆珠笔的寿命
B.了解全国九年级学生身高的现状
C.考察人们保护海洋的意识
D.检查一枚用于发射卫星的运载火箭的各零部件
查看答案和解析>>
科目:初中数学 来源:2015-2016学年江苏省镇江市句容市八年级上学期期中数学试卷(解析版) 题型:填空题
(2012•牡丹江)矩形ABCD中,AB=10,BC=3,E为AB边的中点,P为CD边上的点,且△AEP是腰长为5的等腰三角形,则DP= .
查看答案和解析>>
科目:初中数学 来源:2015-2016学年江苏省镇江市句容市八年级上学期期中数学试卷(解析版) 题型:填空题
(2013•丽水)如图,在Rt△ABC中,∠A=90°,∠ABC的平分线BD交AC于点D,AD=3,BC=10,则△BDC的面积是 .
![]()
查看答案和解析>>
科目:初中数学 来源:2015-2016学年江苏省镇江市八年级上学期期末数学试卷(解析版) 题型:解答题
(2015秋•镇江期末)已知:如图,AB∥CD,E是AB的中点,CE=DE.
![]()
(1)求证:∠AED=∠BEC;
(2)连接AC、BD,求证:AC=BD.
查看答案和解析>>
科目:初中数学 来源:2015-2016学年江苏省镇江市八年级上学期期末数学试卷(解析版) 题型:填空题
(2015秋•镇江期末)若函数y=2x+3与y=3x﹣2m的图象交y轴于同一点,则m的值为 .
查看答案和解析>>
科目:初中数学 来源:2015-2016学年江苏省无锡市江阴市长泾片八年级上学期期中数学试卷(解析版) 题型:解答题
(2015秋•江阴市期中)在小学,我们已经初步了解到,正方形的每个角都是90°,每条边都相等.如图,在正方形ABCD外侧作直线AQ,且∠QAD=30°,点D关于直线AQ的对称点为E,连接DE、BE,DE交AQ于点G,BE交AQ于点F.
![]()
(1)求∠ABE的度数;
(2)若AB=6,求FG的长.
查看答案和解析>>
科目:初中数学 来源:2015-2016学年江苏省泰州市靖江市八年级上学期期末数学试卷(解析版) 题型:填空题
(2015秋•靖江市期末)已知函数y=(n﹣2)x+n2﹣4是正比例函数,则n为 .
查看答案和解析>>
湖北省互联网违法和不良信息举报平台 | 网上有害信息举报专区 | 电信诈骗举报专区 | 涉历史虚无主义有害信息举报专区 | 涉企侵权举报专区
违法和不良信息举报电话:027-86699610 举报邮箱:58377363@163.com