精英家教网 > 初中数学 > 题目详情

阅读下面的材料,解答后面提出的问题:

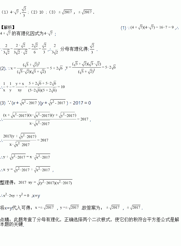
黑白双雄,纵横江湖;双剑合壁,天下无敌,这是武侠小说中的常见描述,其意思是指两个人合在一起,取长补短,威力无比,在二次根式中也有这种相辅相成的“对子”,如:(2+)(2-)=1,()()=3, 它们的积不含根号,我们说这两个二次根式互为有理化因式,其中一个是另一个的有理化因式.于是,二次根式除法可以这样【解析】
=7+4.像这样通过分子、分母同乘以一个式子把分母中的根号化去或把根号中的分母化去,叫做分母有理化.

解决问题:

(1)4+的有理化因式是       ,将分母有理化得       

(2)已知x=,y=,则

(3)已知实数x,y满足(x+)(y+)-2017=0,则x= ,y=  

练习册系列答案
相关习题

科目:初中数学 来源:[首发]2016-2017学年江西省宜春市丰城市七年级下学期期中考试数学试卷(解析版) 题型:解答题

刘聪和爸爸、妈妈到人民公园游玩,回到家后,他利用平面直角坐标系画出了公园的景区地图,如图所示.可是她忘记了在图中标出原点和x轴.y轴.只知道游乐园D的坐标为(2,-2),

请你帮她画出平面直角坐标系,并写出其他各景点A、B、C、E、F的坐标.

查看答案和解析>>

科目:初中数学 来源:2017届湖北武汉市中考模拟数学试卷(二)(解析版) 题型:单选题

最接近的整数为( )

A. 2 B. 3 C. 4 D. 5

查看答案和解析>>

科目:初中数学 来源:2016届湖南省中考模拟训练数学试卷(解析版) 题型:填空题

如图4所示的是桥梁的两条钢缆具有相同的抛物线形状.按照图中建立的直角坐标系,右面的一条抛物线的解析式为y=x2-4x+5表示,而且左右两条抛物线关于y轴对称,则左面钢缆的表达式为_________________________________.

查看答案和解析>>

科目:初中数学 来源:2016届湖南省中考模拟训练数学试卷(解析版) 题型:单选题

如图,一个小立方块所搭的几何体,从不同的方向看所得到的平面图形中(小正方形中的数字表示在该位置的小立方块的个数),不正确的是(  )

A. B. C. D.

查看答案和解析>>

科目:初中数学 来源:[首发]2016-2017学年安徽省阜阳市八年级下学期期中考试数学试卷(解析版) 题型:解答题

如果正方形网格中的一个小正方形的边长都是1,那么每个小正方形的顶点叫做格点.

(1)在图①中,以格点为顶点画一个三角形,使三角形的三边长分别为3,

(2)在图②中,线段AB的端点在格点上,请画出以AB为一边的三角形,使三角形的面积为4(要求至少画出3个);

(3)在图③中,△MNP的顶点M,N在格点上,P在小正方形的边上,问这个小三角形的面积相当于多少个小正方形的面积?

查看答案和解析>>

科目:初中数学 来源:[首发]2016-2017学年安徽省阜阳市八年级下学期期中考试数学试卷(解析版) 题型:单选题

如图,正方形ABCD的边长为1,顺次连接正方形ABCD四边的中点得到第一个正方形A1B1C1D1,由顺次连接正方形A1B1C1D1四边的中点得到第二个正方形A2B2C2D2…,以此类推,则第六个正方形A6B6C6D6周长是( )

A. B. C. D.

查看答案和解析>>

科目:初中数学 来源:2016届江苏省句容市九年级上学期竞赛数学试卷(解析版) 题型:填空题

已知有理数x满足:,若的最小值为a,最大值为b,则ab=________。

查看答案和解析>>

科目:初中数学 来源:2016-2017学年江苏省苏州市高新区七年级下学期期中考试数学试卷(解析版) 题型:填空题

如图, 分别平分的外角、内角、外角.以下结论: ①;②;③平分;④; ⑤其中正确的结论是_______.

查看答案和解析>>

同步练习册答案