精英家教网 > 初中数学 > 题目详情

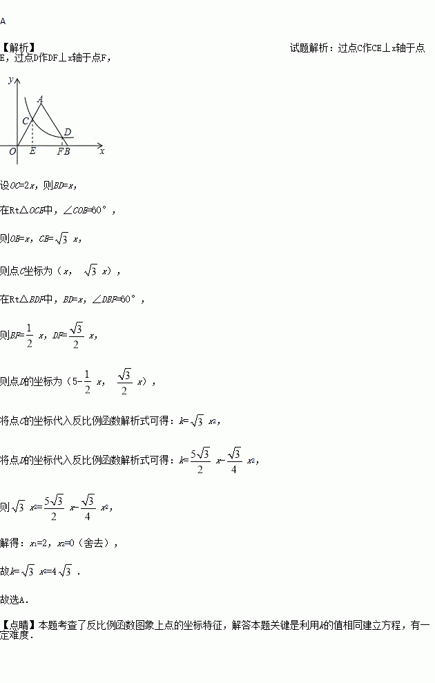
如图,反比例函数的图象与边长为5的等边△AOB的边OA,AB分别相交于C,D两点,若OC=2BD,则实数k的值为( )

A. B. C. D.

练习册系列答案
相关习题

科目:初中数学 来源:2017届湖北省武汉市中考模拟数学试卷(解析版) 题型:单选题

计算(a-2)2的结果是( )

A. a2-4 B. a2-2a+4 C. a2-4a+4 D. a2+4

查看答案和解析>>

科目:初中数学 来源:2017届江苏省苏州市高新区九年级下学期第一次模拟考试数学试卷(解析版) 题型:填空题

在如图所示的正方形纸片上做随机扎针实验,则针头扎在阴影区域内的概率为________.

查看答案和解析>>

科目:初中数学 来源:2017届浙江省瑞安市五校联考九年级下学期第二次模拟考试数学试卷(解析版) 题型:解答题

某地区住宅用电之电费计算规则如下:每月每户不超过50度时,每度以4元收费;超过50度的部分,每度以5元收费,并规定用电按整数度计算(小数部份无条件舍去) .

(1)下表给出了今年3月份A,B两用户的部分用电数据,请将表格数据补充完整,

(2)若假定某月份C用户比D用户多缴电费38元,求C用户该月可能缴的电费为多少?

查看答案和解析>>

科目:初中数学 来源:2017届浙江省瑞安市五校联考九年级下学期第二次模拟考试数学试卷(解析版) 题型:填空题

在“校园文化”建设中,某校用8 000元购进一批绿色植物,种植在礼堂前的空地处.根据建设方案的要求,该校又用7500元购进第二批绿植植物.若两次所买植物的盆数相同,且第二批每盆的价格比第一批的少10元.则第二批绿植每盆的价格为__________元.

查看答案和解析>>

科目:初中数学 来源:2017届浙江省瑞安市五校联考九年级下学期第二次模拟考试数学试卷(解析版) 题型:单选题

某学习小组13名学生的一次英语听力测试成绩分布如下表所示(满分20分):

成绩(分)

14

15

16

17

18

19

20

人数(人)

1

3

2

2

1

2

2

这13名学生听力测试成绩的中位数是( )

A. 16分 B. 17分 C. 18分 D. 19分

查看答案和解析>>

科目:初中数学 来源:2017届湖北省枝江市九校九年级下学期期中联考数学试卷(解析版) 题型:解答题

“WJ一号”水稻种子,当年种植,当年收割,当年出水稻产量,(以后每年要出产量还需重要新种植),某村2014、2015、2016年连续尝试种植了此水稻种子。2015年和2016年种植面积都比上年减少相同的数量,若2016年平均每公顷水稻产量比2015年增加的百分数是2015年比2014年增加的百分数的1.25倍,2016年比2014年种植面积减少的百分数与2016年水稻总产量比2014年增加的百分数相同,都等于2015年比上年平均每公顷水稻产量增加的百分数。

(1)求2016年平均每公顷水稻产量比2015年增加的百分数;

(2)求2015年这种水稻总产量比上年增加的百分数。

查看答案和解析>>

科目:初中数学 来源:2017届湖北省枝江市九校九年级下学期期中联考数学试卷(解析版) 题型:单选题

下列运算正确的是()

A. B. C. D.

查看答案和解析>>

科目:初中数学 来源:2016-2017学年广东省广州市四校七年级下学期期中联考数学试卷(解析版) 题型:解答题

解方程组:

查看答案和解析>>

同步练习册答案