精英家教网 > 初中数学 > 题目详情

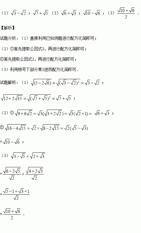
我们知道平方运算和开方运算是互逆运算,如:,那么,那么如何将双重二次根式化简呢?如能找到两个数,使得,且使

那么,双重二次根式得以化简;

例如化简:

由此对于任意一个二次根式只要可以将其化成的形式,且能找到使得,且,那么这个双重二次根式一定可以化简为一个二次根式.请同学们通过阅读上述材料,完成下列问题:

(1)填空: _________________; __________________;

(2)化简:①

(3)计算:

练习册系列答案
相关习题

科目:初中数学 来源:2016届江西省高安市九年级下学期第一次模拟考试数学试卷(解析版) 题型:解答题

已知:如图,O为正方形ABCD的中心,BE平分∠DBC,交DC于点E,延长BC到点F,使CF=CE,连结DF,交BE的延长线于点G,连结OG.

(1)求证:△BCE≌△DCF:

(2)OG与BF有什么数量关系?证明你的结论;

(3)若GEGB=4-2,求正方形ABCD的面积.

查看答案和解析>>

科目:初中数学 来源:2014-2015学年湖南省九年级年级上期末考试数学试卷(解析版) 题型:选择题

下列四边形中,对角线相等且互相垂直平分的是

A.平行四边形 B.正方形 C.等腰梯形 D.矩形

查看答案和解析>>

科目:初中数学 来源:2016届安徽省芜湖市南陵县九年级下学期中考第一次模拟考试数学试卷(解析版) 题型:填空题

分解因式: ________________________.

查看答案和解析>>

科目:初中数学 来源:2016届安徽省芜湖市南陵县九年级下学期中考第一次模拟考试数学试卷(解析版) 题型:选择题

如图所示,是六个棱长为1的立方块组成的一个几何体,其左视图的面积是( ).

A.6 B.5 C.4 D.3

查看答案和解析>>

科目:初中数学 来源:2016届重庆市九年级下学期第一阶段检测数学试卷(解析版) 题型:解答题

化简:

查看答案和解析>>

科目:初中数学 来源:2016届重庆市九年级下学期第一阶段检测数学试卷(解析版) 题型:填空题

中国倡导的“一带一路”建设将促进我国与世界各国的互利合作,根据规划,“一带一路”地区覆盖总人口约为440000万人,数440000用科学记数法表示为 .

查看答案和解析>>

科目:初中数学 来源:2016届江苏省无锡市九年级3月阶段测试数学试卷(解析版) 题型:解答题

把分别标有数字2、3、4、5的四个小球放入A袋内,把分别标有数字的五个小球放入B袋内,所有小球的形状、大小、质地完全相同,A、B两个袋子不透明。

(1)小明分别从A、B两个袋子中各摸出一个小球,求这两个小球上的数字互为倒数的概率。(利用“画树状图”或“列表”的方式给出分析过程)

(2)当B袋中标有的小球上的数字变为 时(填写所有结果),(1)中的概率为

查看答案和解析>>

科目:初中数学 来源:2016届江西省抚州市九年级下学期第四次月考数学试卷(解析版) 题型:填空题

如图,在△ABC中,DE∥BC,分别交AB,AC于点D、E.若AD=3,DB=2,BC=6,则DE的长为

查看答案和解析>>

同步练习册答案