精英家教网 > 初中数学 > 题目详情

阅读下面问题:

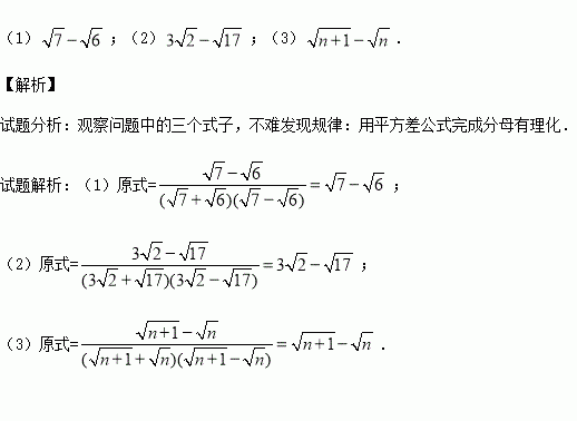
试求:(1)的值;

(2)的值;

(3)(n为正整数)的值.

练习册系列答案
相关习题

科目:初中数学 来源:2016届安徽省毕业班五校第四次联考数学试卷(解析版) 题型:解答题

阅读下列解题过程,并解答后面的问题:如图1,在平面直角坐标系中,,为线段的中点,求点的坐标.

【解析】
分别过轴的平行线,过轴的平行线,两组平行线的交点如图1所示.

,则,,

由图1可知:

问题:

(1)已知,,,则线段的中点坐标为

(2)□中,点的坐标分别为,,,,求点的坐标;

(3)如图2,点,与点在函数的图像上,点,,点轴上,以四个点为顶点构成平行四边形,请你直接写出所有满足条件的点坐标.

查看答案和解析>>

科目:初中数学 来源:2015-2016学年广东普宁华侨管理区中学七年级下第一次段考数学卷(解析版) 题型:选择题

如图,若∠1=50°,∠C=50°,∠2=120°,则( )

A.∠B =40° B.∠B=50° C.∠B=60° D.∠B=120°

查看答案和解析>>

科目:初中数学 来源:2015-2016学年甘肃省八年级下学期第一次月考数学试卷(解析版) 题型:填空题

如图,在△ABC中,AB=AC=2,∠A=90°,点P为BC的中点,点E、F分别为边AB、AC上的点,若∠EPF=45°,若∠FEP=60°,则CF=

查看答案和解析>>

科目:初中数学 来源:2015-2016学年甘肃省八年级下学期第一次月考数学试卷(解析版) 题型:选择题

在数轴上表示不等式x≥-2的解集,正确的是 ( )

A. B.

C. D.

查看答案和解析>>

科目:初中数学 来源:2015-2016学年甘肃定西安定区公园路中学八年级下第一次月考数学卷(解析版) 题型:计算题

计算:

查看答案和解析>>

科目:初中数学 来源:2015-2016学年甘肃定西安定区公园路中学八年级下第一次月考数学卷(解析版) 题型:填空题

等腰三角形腰长13cm,底边长10cm,则底边上的高为 cm.

查看答案和解析>>

科目:初中数学 来源:2016届江苏省盐城市东台市一教九年级下学期第一次月考数学试卷(解析版) 题型:解答题

(1)问题:如图1,在四边形ABCD中,点P为AB上一点,∠DPC=∠A=∠B=90°.求证:ADBC=APBP.

(2)探究:如图2,在四边形ABCD中,点P为AB上一点,当∠DPC=∠A=∠B=θ时,上述结论是否依然成立?说明理由.

(3)应用:请利用(1)(2)获得的经验解决问题:

如图3,在△ABD中,AB=12,AD=BD=10.点P以每秒1个单位长度的速度,由点A出发,沿边AB向点B运动,且满足∠DPC=∠A.设点P的运动时间为t(秒),当以D为圆心,以DC为半径的圆与AB相切,求t的值.

查看答案和解析>>

科目:初中数学 来源:2015-2016学年湖南省八年级下第一次月考数学试卷(解析版) 题型:填空题

如果正比例函数y=kx的图象经过点(1,-2),那么k的值等于

查看答案和解析>>

同步练习册答案