精英家教网 > 初中数学 > 题目详情

阅读理【解析】
对于任意正实数a、b,∵()2≥0,∴a-2+b≥0,∴a+b≥2,只有当a=b时,等号成立.

结论:在a+b≥2(a、b均为正实数)中,若ab为定值p,则a+b≥2,只有当a=b时,a+b有最小值2.  根据上述内容,回答下列问题:

(1)若m>0,只有当m=      时,m+有最小值        

若m>0,只有当m=      时,2m+有最小值       .

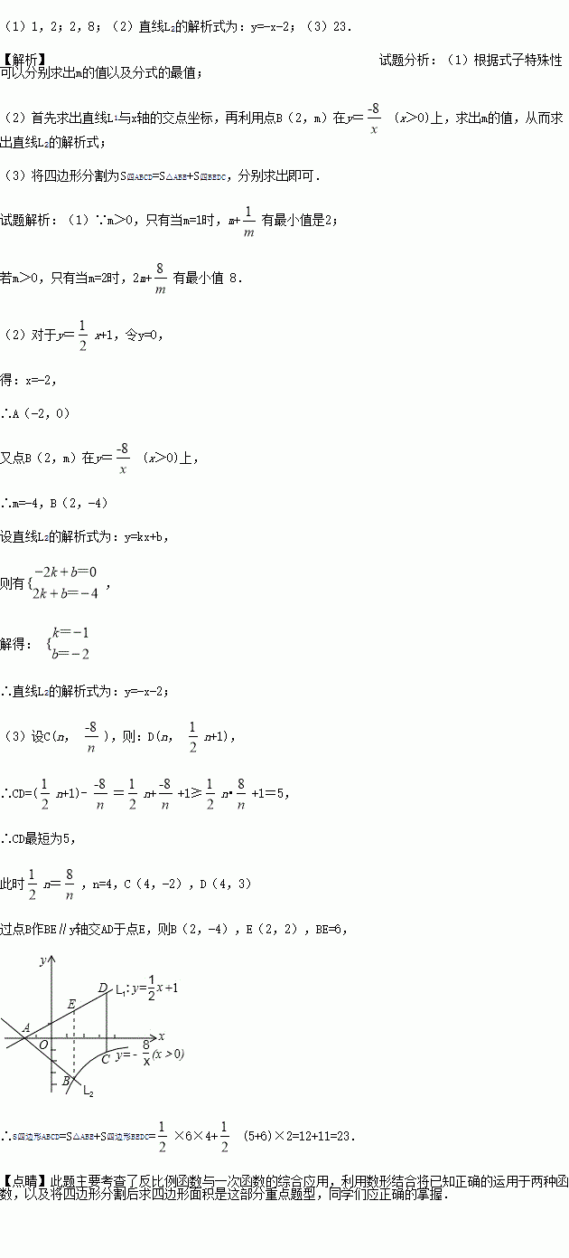
(2)如图,已知直线L1:y=x+1与x轴交于点A,过点A的另一直线L2与双曲线y=(x>0)相交于点B(2,m),求直线L2的解析式.

(3)在(2)的条件下,若点C为双曲线上任意一点,作CD∥y轴交直线L1于点D,试求当线段CD最短时,点A、B、C、D围成的四边形面积.

练习册系列答案
相关习题

科目:初中数学 来源:山东省淄博市博山区2017届中考一模数学试卷 题型:解答题

如图,在大楼AB的正前方有一斜坡CD,CD=4米,坡角∠DCE=30°,小红在斜坡下的点C处测得楼顶B的仰角为60°,在斜坡上的点D处测得楼顶B的仰角为45°,其中点A、C、E在同一直线上.

(1)求斜坡CD的高度DE;

(2)求大楼AB的高度(结果保留根号)

查看答案和解析>>

科目:初中数学 来源:江西省吉安市2017届九年级下学期六校联考数学试卷 题型:单选题

已知一个正多边形的一个外角为,则这个正多边形的边数是( )

A. 8 B. 9 C. 10 D. 11

查看答案和解析>>

科目:初中数学 来源:山东省淄博市高青县2017届中考一模数学试卷 题型:单选题

如图,正方形ABCD的四个顶点分别在四条平行线l1、l2、l3、l4上,这四条直线中相邻两条之间的距离依次为h1、h2、h3.若h1=2,h2=1,则正方形ABCD的面积为( )

A. 9 B. 10 C. 13 D. 25

查看答案和解析>>

科目:初中数学 来源:山东省淄博市高青县2017届中考一模数学试卷 题型:选择题

在一个不透明的口袋中装有5张完全相同的卡片,卡片上面分别写有数字-2,-1,0, 1,3,从中随机抽出一张卡片,卡片上面的数字是负数的概率为( )

A. B. C. D.

查看答案和解析>>

科目:初中数学 来源:[首发]江苏省东台市2016-2017学年八年级下学期第二次月考数学试卷 题型:解答题

解方程:

(1)-=0 (2)2x2-2x=x+1

查看答案和解析>>

科目:初中数学 来源:[首发]江苏省东台市2016-2017学年八年级下学期第二次月考数学试卷 题型:填空题

已知: +∣b-1∣=0,那么(a+b)2017的值为________

查看答案和解析>>

科目:初中数学 来源:山东省淄博市沂源县2017届中考一模数学试卷 题型:解答题

某校对九年级学生进行了一次数学学业水平测试,成绩评定分为A、B、C、D四个等级(注:等级A、B、C、D分别代表优秀、良好、合格、不合格),学校从九年级学生中随机抽取50名学生的数学成绩进行统计分析,并绘制成扇形统计图(如图所示).

根据图中所给的信息回答下列问题:

(1)随机抽取的九年级学生数学学业水平测试中,D等级人数的百分率和D等级学生人数分别是多少?

(2)这次随机抽样中,学生数学学业水平测试成绩的中位数落在哪个等级?

(3)若该校九年级学生有800名,请你估计这次数学学业水平测试中,成绩达合格以上(含合格)的人数大约有多少人?

查看答案和解析>>

科目:初中数学 来源:山东省淄博市周村区2017届中考一模数学试卷 题型:单选题

在函数y=中,自变量x的取值范围是( )

A. x>2 B. x≠2 C. x<2 D. x≤2

查看答案和解析>>

同步练习册答案