精英家教网 > 初中数学 > 题目详情

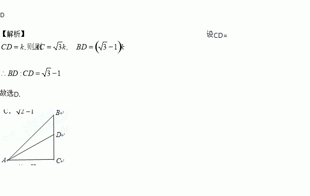
如图,在等腰Rt△ABC中,∠C=90°,∠CAD=30°,则BD ? DC等于( )

A. B. C. D.

练习册系列答案
相关习题

科目:初中数学 来源:2016-2017学年山东省八年级下学期期中阶段性教学评估考试数学试卷(解析版) 题型:解答题

如图,直线经过点A(0,5),B(1,4).

(1)求直线AB的解析式;

(2)若直线与直线AB相交于点C,求点C的坐标;

查看答案和解析>>

科目:初中数学 来源:【全国市级联考】山东省威海市2017届九年级下学业水平模拟调研数学试卷 题型:单选题

下列几何体中,主视图是等腰三角形的是( )

A. B. C. D.

查看答案和解析>>

科目:初中数学 来源:【全国百强校】2017届江苏省自主招生模拟考试数学试卷(解析版) 题型:填空题

如图,已知M(3,3),⊙M的半径为2,四边形ABCD是⊙M的内接正方形,E为AB中点,当正方形ABCD绕圆心M转动时,△OME的面积最大值为________.

查看答案和解析>>

科目:初中数学 来源:【全国百强校】2017届江苏省自主招生模拟考试数学试卷(解析版) 题型:单选题

已知三个关于x的一元二次方程ax2+bx+c=0 ,bx2+cx+a=0 ,cx2+ax+b=0恰有一个公共实数根,则的值为( )

A. 0 B. 1 C. 2 D. 3

查看答案和解析>>

科目:初中数学 来源:2016-2017学年江苏省句容市片区八年级下学期第一次学情调研数学试卷(解析版) 题型:解答题

如图,过四边形ABCD的四个顶点分别作对角线AC,BD的平行线,所围成的四边形EFGH显然是平行四边形.

(1)当四边形ABCD分别是菱形、矩形、平行四边形时,相应的四边形EFGH一定是“平行四边形、菱形、矩形、正方形”中的哪一种?请将你的结论填入下表:

(2)反之,当用上述方法所围成的平行四边形EFGH分别是矩形、菱形时,相应的原四边形ABCD必须满足怎样的条件?

时,四边形EFGH是矩形;当 时四边形EFGH是菱形.

查看答案和解析>>

科目:初中数学 来源:2016-2017学年江苏省句容市片区八年级下学期第一次学情调研数学试卷(解析版) 题型:单选题

已知菱形的周长为40cm,两条对角线之比3:4,则菱形面积为( )

A. 12 B. 24 C. 48 D. 96

查看答案和解析>>

科目:初中数学 来源:2016-2017学年江苏省句容市片区八年级下学期第一次学情调研数学试卷(解析版) 题型:填空题

如图,AB⊥BC,AB=BC=2 cm,弧OA与弧OC关于点O成中心对称,则AB、BC、弧CO、弧OA所围成的面积是_______cm2.

查看答案和解析>>

科目:初中数学 来源:2017届湖北省襄阳市老河口九年级中考适应性考试数学试卷(解析版) 题型:单选题

如图,动点P从点A出发,沿线段AB运动至点B后,立即按原路返回,点P在运动过程中速度不变,则以点B为圆心,线段BP长为半径的圆的面积S与点P的运动时间t的函数图象大致为( )

A. B. C. D.

查看答案和解析>>

同步练习册答案