精英家教网 > 初中数学 > 题目详情

(本题8分)一个不透明的布袋里装有4个球,其中3个红球,1个白球,它们除颜色外其余都相同.

(1)求摸出1个球是白球的概率;

(2)摸出1个球,记下颜色后放回,并搅匀,再摸出1个球.求两次摸出的球恰好颜色相同的概率(要求画树状图或列表);

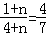
(3)现再将n个白球放入布袋,搅匀后,使摸出1个球是白球的概率为,求n的值.

(1);(2)图详见解析,;(3)

【解析】

试题分析:(1)∵一个不透明的布袋里装有4个球,其中3个红球,1个白球,它们除颜色外其余都相同.

∴摸出1个球是白球的概率为:

(2)画树状图得:

∵共有16种等可能的结果,两次摸出的球恰好颜色相同的有10种情况,

∴两次摸出的球恰好颜色相同的概率为:

(3)由题意得,

解得,n=3经检验符合题意

考点: 1.列表法与树状图法;2.概率公式

练习册系列答案
相关习题

科目:初中数学 来源:2014-2015学年北京市七年级上学期期中检测数学试卷(解析版) 题型:选择题

已知代数式x+2y+1的值是3,则代数式2x+4y+1的值是( ).

A.4 B.5 C.7 D.不能确定

查看答案和解析>>

科目:初中数学 来源:2014-2015学年湖北省孝感市八校八年级上学期12月联考数学试卷(解析版) 题型:解答题

如图, 已知:AB⊥BC于B , EF⊥AC于G , DF ⊥BC于D , BC=DF.求证:AC=EF.

查看答案和解析>>

科目:初中数学 来源:2014-2015学年湖北省孝感市八校八年级上学期12月联考数学试卷(解析版) 题型:选择题

如图,△BDC′是将长方形纸片ABCD沿BD折叠得到的,图中 (包括实线和虚线在内)共有全等三角形( )对.

A.5 B.4 C.3 D.2

查看答案和解析>>

科目:初中数学 来源:2014-2015学年重庆市江津区四校九年级上学期期中联考数学试卷(解析版) 题型:选择题

一元二次方程的根是( )

A.

B.

C.

D.

查看答案和解析>>

科目:初中数学 来源:2014-2015学年浙江省九年级上学期期中考试数学试卷(解析版) 题型:填空题

已知二次函数 ,当自变量对应的函数值为 ,当自变量对应的函数值为, 则 (填“﹥”、“﹤”或“﹦”)

查看答案和解析>>

科目:初中数学 来源:2014-2015学年浙江省九年级上学期期中考试数学试卷(解析版) 题型:选择题

二次函数的图象如图所示,有下列结论:①,②,③,④ ,⑤ 其中正确的个数有( )

A.1个 B.2个 C.3个 D.4个

查看答案和解析>>

科目:初中数学 来源:2014-2015学年浙江省九年级10月月考数学试卷(解析版) 题型:填空题

如图,二次函数的图象开口向上,图象经过点(-1,2)和(1,0),且与轴相交于负半轴。则比较下列大小:①abc 0;②2a+b 0;③a+c 1;④a+b+c 0 ;⑤a 1。

查看答案和解析>>

科目:初中数学 来源:2014-2015学年四川省九年级一诊数学试卷(解析版) 题型:解答题

A,B两地相距18公里,甲工程队要在A,B两地间铺设一条输送天然气管道,乙工程队要在A,B两地间铺设一条输油管道.已知甲工程队每周比乙工程队少铺设1公里,甲工程队提前3周开工,结果两队同时完成任务,求甲、乙两工程队每周各铺设多少公里管道?

查看答案和解析>>

同步练习册答案