精英家教网 > 初中数学 > 题目详情

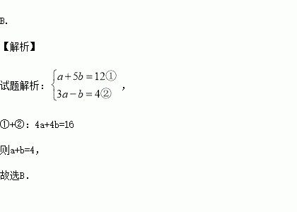
已知a,b满足方程组,则a+b的值为( )

A.-4 B.4 C.-2 D.2

练习册系列答案
相关习题

科目:初中数学 来源:2017届山东省滨州市九年级上学期期末模拟检测数学试卷(解析版) 题型:单选题

如图,PA、PB、CD分别切⊙O于点A、B、E,CD分别交PA、PB于点C、D.下列关系:①PA=PB;②∠ACO=∠DCO;③∠BOE和∠BDE互补;④△PCD的周长是线段PB长度的2倍.则其中说法正确的有

A. 1个 B. 2个 C. 3个 D. 4个

查看答案和解析>>

科目:初中数学 来源:2017届广东省深圳市九年级上学期期中考试数学试卷(解析版) 题型:填空题

如图,转动转盘,转盘停止转动时指针指向阴影部分的概率是____.

查看答案和解析>>

科目:初中数学 来源:2016-2017学年重庆市沙坪坝区四校联盟七年级下学期期中考试数学试卷(解析版) 题型:解答题

已知整数x满足不等式3x-4≤6x-2和不等式-1,并且满足方程3(x+a)+2-5a=0,求a的值.

查看答案和解析>>

科目:初中数学 来源:2016-2017学年重庆市沙坪坝区四校联盟七年级下学期期中考试数学试卷(解析版) 题型:填空题

由方程组可得出关系是______

查看答案和解析>>

科目:初中数学 来源:2016-2017学年重庆市沙坪坝区四校联盟七年级下学期期中考试数学试卷(解析版) 题型:单选题

已知是方程2mx﹣y=10的解,则m的值为

A. 2 B. 4 C. 6 D. 10

查看答案和解析>>

科目:初中数学 来源:2016-2017学年四川省广安市岳池县八年级下学期期中质量检测数学试卷(解析版) 题型:解答题

在四边形ABCD中,AB=BC,对角线BD平分,P是BD上一点,过P作PM⊥AD于点M,PN⊥CD于点N.

(1)求证:

(2)若,求证:四边形MPND是正方形。

查看答案和解析>>

科目:初中数学 来源:2016-2017学年四川省广安市岳池县八年级下学期期中质量检测数学试卷(解析版) 题型:单选题

小明在学习了正方形之后,给同桌小文出了道题,从下列四个条件:①AB=BC,②∠ABC=90°,③AC=BD,④AC⊥BD中选两个作为补充条件,使?ABCD为正方形(如图),现有下列四种选法,你认为其中错误的是( )

A. ①② B. ②③ C. ①③ D. ②④

查看答案和解析>>

科目:初中数学 来源:2017届吉林省延边州九年级下学期中考适应性考试数学试卷(解析版) 题型:解答题

如下图所示,网格中每个小正方形的边长为1,请你认真观察图(1)中的三个网格中阴影部分构成的图案,解答下列问题:

图(1) 图(2)

(1)图(1)中的三个图案都具有以下共同特征:都是______对称图形,都不是____对称图形. (填“中心”或“轴”)

(2)请在图(2)中设计出一个面积为4,且具备上述特征的图案,要求所画图案不能与图(1)中所给出的图案相同.

查看答案和解析>>

同步练习册答案