精英家教网 > 初中数学 > 题目详情

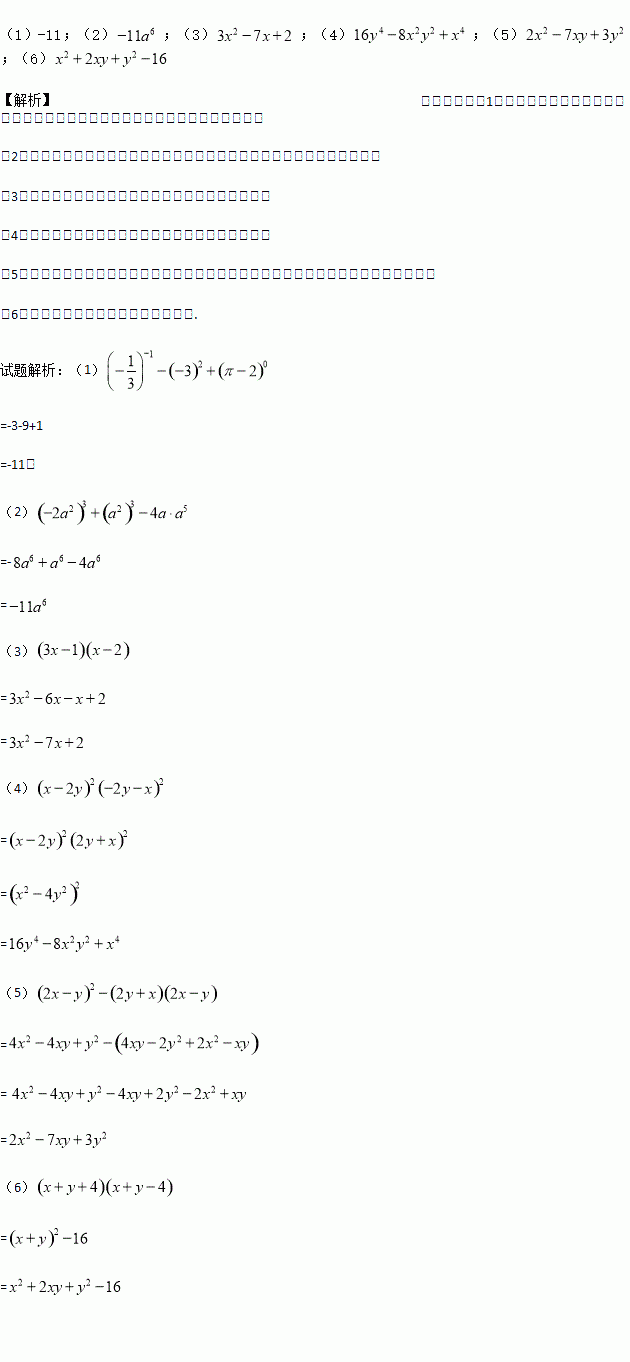
计算:

(1)

(2)

(3)

(4)

(5)

(6)

练习册系列答案
相关习题

科目:初中数学 来源: 题型:填空题

5.已知$\frac{2}{2+\frac{2}{2+x}}$=$\frac{3}{3+\frac{3}{3+y}}$=$\frac{1}{1+\frac{1}{1+z}}$,则2x-3y+z=4.

查看答案和解析>>

科目:初中数学 来源:2016-2017学年吉林省七年级下学期期中复习数学检测试卷(一)(解析版) 题型:解答题

已知,求的值.

查看答案和解析>>

科目:初中数学 来源:2016-2017学年吉林省七年级下学期期中复习数学检测试卷(一)(解析版) 题型:单选题

如果 , , 那么,d三数的大小为( )

A. B. C. D.

查看答案和解析>>

科目:初中数学 来源:2016-2017学年江苏省苏州太仓市第二学期初一期中复习检测数学试卷(一)(解析版) 题型:解答题

太仓港区道路绿化工程工地有大量货物需要运输,某车队有载重量为8吨和10吨的卡车共15辆,所有车辆运输一次能运输128吨货物.

(1)求该车队载重量为8吨、10吨的卡车各有多少辆?

(2)随着工程的扩大,车队需要一次运输货物170吨以上,为了完成任务,车队准备增购这两种卡车共5辆(两种车都购买),请写出所有可能的购车方案.

查看答案和解析>>

科目:初中数学 来源:2016-2017学年江苏省苏州太仓市第二学期初一期中复习检测数学试卷(一)(解析版) 题型:填空题

已知a+b=3,ab=1,则a2+b2=____________.

查看答案和解析>>

科目:初中数学 来源: 题型:解答题

4.将学生的两个三角板放成如图形状,若最短边长为1(即CD为1),求重叠部分△AEC的面积.

查看答案和解析>>

科目:初中数学 来源: 题型:填空题

18.当k=±6时,x2+kx+9恰好是某个整式的平方.

查看答案和解析>>

科目:初中数学 来源: 题型:填空题

19.一个凸多边形共有35条对角线,它是十边形.

查看答案和解析>>

同步练习册答案