精英家教网 > 初中数学 > 题目详情

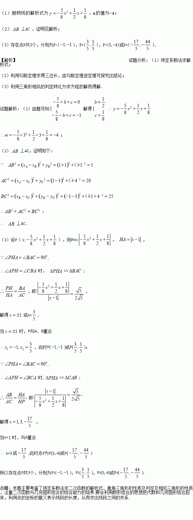
如图,抛物线过A(1,0)、B(-1,-1)、C(3,m)三点。

(1)求抛物线的解析式及m的值;

(2)判断与AC的位置关系,并证明你的结论;

(3)在抛物线上是否存在点P,当PHx轴于点H时,以P、H、A为顶点的三角形与 相似?若存在,求出点P坐标;若不存在,请说明理由。

练习册系列答案
相关习题

科目:初中数学 来源:[首发]山东省枣庄市薛城区2017届九年级中考模拟(5月)数学试卷 题型:解答题

如图,△ABC三个顶点的坐标分别为A(1,1),B(4,2),C(3,4)

(1)请画出将△ABC向左平移4个单位长度后得到的图形△A1B1C1;

(2)请画出△ABC关于原点O成中心对称的图形△A2B2C2;

(3)在x轴上找一点P,使PA+PB的值最小,请直接写出点P的坐标.

查看答案和解析>>

科目:初中数学 来源:[首发]江苏省东台市第四教育联盟2016-2017学年八年级下学期第三次(5月)月考数学试卷 题型:单选题

下列调查中,适宜采用普查方式的是(  )

A. 了解一批圆珠笔的寿命 B. 了解全国九年级学生身高的现状

C. 考察人们保护海洋的意识 D. 检查一枚用于发射卫星的运载火箭的各零部件

查看答案和解析>>

科目:初中数学 来源:山东省高密市2017届九年级下学期学业水平测试(三)数学试卷 题型:单选题

如图,已知二次函数的图象如图所示,给出以下四个结论:①,②,③,④. 其中正确的个数为( )

A. 4 B. 3 C. 2 D. 1

查看答案和解析>>

科目:初中数学 来源:山东省高密市2017届九年级下学期学业水平测试(三)数学试卷 题型:单选题

下列运算正确的是( )

A. B. C. D.

查看答案和解析>>

科目:初中数学 来源:【全国百强校】云南省曲靖市2017届九年级下学期第一次月考数学试卷 题型:解答题

某市教育主管部门为了解学生的作业量情况,随机抽取了几所中学八年级的部分学生进行了一次调查,并根据收集到的信息进行了统计,绘制了下面两幅尚不完整的统计图.请你根据统计图、表中所提供的信息解答下列问题:

(1)本次共抽取了 名学生进行调查;

(2)x= ,y= ,补全条形统计图;

(3)若这几所中学八年级的学生共有3200人,请估计做作业时间在2小时以上的学生人数是多少?

(4)由图表可知,这次被调查的八年级学生的作业时间的中位数一定落在1.5小时—2小时这一时段内,你认为这种判断正确吗?(不需要说明理由)

查看答案和解析>>

科目:初中数学 来源:【全国百强校】云南省曲靖市2017届九年级下学期第一次月考数学试卷 题型:单选题

如图,在△ABC中,分别以点A和点B为圆心,大于 的长为半径画弧,两弧相交于点M,N,作直线MN交BC于点D,连接AD若△ABC 的周长为21,AB=7,则△ADC的周长为( )

A. 28 B. 24 C. 18.5 D. 14

查看答案和解析>>

科目:初中数学 来源:福建省南安市业质量检查数学试卷 题型:解答题

如图,点在同一直线上, .求证:

查看答案和解析>>

科目:初中数学 来源:江苏省无锡市2016-2017学年七年级5月月考数学试卷 题型:单选题

下列方程是二元一次方程的是( )

A. 2x+y=z-3 B. xy=5 C. +5=3y D. x=y

查看答案和解析>>

同步练习册答案