精英家教网 > 初中数学 > 题目详情

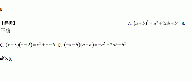
下列运算中,正确的是( )

A. B.

C. D.

练习册系列答案
相关习题

科目:初中数学 来源:江苏省宜兴实验学校2016-2017学年初二下学期期中考试数学试卷 题型:解答题

计算或化简(1)

(2)先化简,再求值: ,其中=1.

查看答案和解析>>

科目:初中数学 来源:湖北省黄石大冶市还地桥镇2017届九年级5月中考模拟数学试卷 题型:单选题

今年4月29日成都地铁安全运输乘客约181万乘次,又一次刷新客流纪录,这也是今年以来第四次客流纪录的刷新,用科学记数法表示181万为(  )

A. 18.1×105 B. 1.81×106 C. 1.81×107 D. 181×104

查看答案和解析>>

科目:初中数学 来源:江苏省2016-2017学年初一下学期期中考试数学试卷 题型:填空题

,则=_______。

查看答案和解析>>

科目:初中数学 来源:江苏省2016-2017学年初一下学期期中考试数学试卷 题型:单选题

若a=(﹣)﹣2,b=(﹣2016)0,c=(﹣0.2)﹣1,则a、b、c三数的大小关系是(   )

A. a<b<c B. a>b>c C. a>c>b D. c>a>b

查看答案和解析>>

科目:初中数学 来源:【全国区级联考】广东省汕头市龙湖区2017届九年级5月模拟考试数学试卷 题型:解答题

如图所示,直线AB与反比例函数的图像相交于A,B两点,已知A(1,4).

(1)求反比例函数的解析式;

(2)直线AB交轴于点C,连结OA,当△AOC的面积为6时,求直线AB的解析式.

查看答案和解析>>

科目:初中数学 来源:【全国区级联考】广东省汕头市龙湖区2017届九年级5月模拟考试数学试卷 题型:填空题

一个自然数的立方,可以分裂成若干个连续奇数的和.例如: 分别可以如图所示的方式“分裂”成2个,3个和4个连续奇数的和.若也按照此规律进行“分裂”。则分裂出的最大的那个奇数是_____________.

查看答案和解析>>

科目:初中数学 来源:【全国区级联考】广东省汕头市濠江区2017届九年级5月中考模拟数学试卷 题型:解答题

如图所示,将矩形ABCD沿AF折叠,使点D落在BC边的点E处,过点E作EG∥CD交AF于点G,连接DG.

(1)求证:四边形EFDG是菱形;

(2)求证:EG2=GF×AF;

(3)若,折痕AF=5cm,则矩形ABCD的周长为 .

查看答案和解析>>

科目:初中数学 来源:【全国区级联考】山东省滨州市滨城区2017届九年级第二次模拟数学试卷 题型:单选题

下列命题中真命题的个数是(  )

①用四舍五入法对0.05049取近似值为0.050(精确到0.001);

②若代数式有意义,则x的取值范围是x≤-且x≠-2;

③点P(2,-3)关于x轴的对称点为P,(-2,- 3);

④月球距离地球表面约为384000000米,这个距离用科学记数法表示为3.84×108米.

A. 1 B. 2 C. 3 D. 4

查看答案和解析>>

同步练习册答案