精英家教网 > 初中数学 > 题目详情

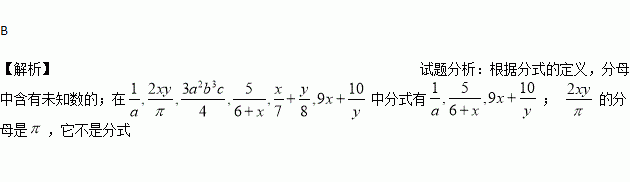
在式子中,分式的个数有( )

A. 2个 B. 3个 C. 4个 D. 5个

练习册系列答案
相关习题

科目:初中数学 来源:2017届江苏省无锡市青阳片九年级下学期期中考试数学试卷(解析版) 题型:解答题

(1)解方程:(1) ;(2)解不等式:2x﹣3≤(x+2)

查看答案和解析>>

科目:初中数学 来源:2016-2017学年江苏省江阴市华士片八年级下学期期中考试数学试卷(解析版) 题型:单选题

如果把中的x和y都扩大到5倍,那么分式的值(  )

A. 扩大5倍 B. 不变 C. 缩小5倍 D. 扩大4倍

查看答案和解析>>

科目:初中数学 来源:2016-2017学年江苏省东台市第二教育联盟八年级下学期期中考试数学试卷(解析版) 题型:填空题

如图,在Rt△ABC中,∠ACB=90°,D、E、F分别是AB、BC、CA的中点,若CD=5cm,则EF= cm.

查看答案和解析>>

科目:初中数学 来源:2016-2017学年江苏省东台市第二教育联盟八年级下学期期中考试数学试卷(解析版) 题型:选择题

在下列性质中,矩形具有而菱形不一定有的是( )

A.对角线互相垂直

B.对角线互相平分

C.四个角是直角

D.四条边相等

查看答案和解析>>

科目:初中数学 来源:2017届浙江省杭州市大江东九年级第一次中考模拟考试数学试卷(解析版) 题型:解答题

如图,A是∠MON边OM上一点,AE∥ON.

(1)在图中作∠MON的角平分线OB,交AE于点B;(要求:尺规作图,保留作图痕迹,不写作法和证明)

(2)在(1)中,过点A画OB的垂线,垂足为点D,交ON于点C,连接CB,将图形补充完整,并证明四边形OABC是菱形.

查看答案和解析>>

科目:初中数学 来源:2017届浙江省杭州市大江东九年级第一次中考模拟考试数学试卷(解析版) 题型:填空题

同时掷两个质地均匀的骰子,观察向上一面的点数,两个骰子的点数相同的概率为

查看答案和解析>>

科目:初中数学 来源:2016-2017学年江苏省东台市第二教育联盟七年级下学期期中考试数学试卷(解析版) 题型:解答题

因式分【解析】

(1)x3-xy2 . (2)m3-6m2+9m .

(3)m2(m﹣1)+4(1﹣m) (4)(a2+4)2﹣16a2

查看答案和解析>>

科目:初中数学 来源:2017届山东省济南市历城区九年级第一次模拟考试数学试卷(解析版) 题型:选择题

已知x=1是方程x+b x-2=0的一个根,则方程的另一个根是

A.1 B.2 C.-2 D.-1

查看答案和解析>>

同步练习册答案