精英家教网 > 初中数学 > 题目详情

如图,在中,已知,点是线段上的动点(不与端点重合),点是线段上的动点,连接,若在点、点的运动过程中,始终保证

(1)求证:

(2)当以点为圆心,以为半径的圆与相切时,求的长;

(3)探究:在点、点的运动过程中,可能为等腰三角形吗?若能,求出的长;若不能,请说明理由。

练习册系列答案
相关习题

科目:初中数学 来源:2017届甘肃省兰州市九年级中考模拟数学试卷(三)(解析版) 题型:填空题

在矩形ABCD中,∠B的角平分线BE与AD交于点E,∠BED的角平分线EF与DC交于点F,若AB=9,DF=2FC,则BC= .(结果保留根号)

查看答案和解析>>

科目:初中数学 来源:2017届广东省广州市海珠区九年级下学期第一次模拟考试数学试卷(解析版) 题型:单选题

如图所示的几何体是由一些小立方块搭成的,则这个几何体的俯视图是

A. B. C. D.

查看答案和解析>>

科目:初中数学 来源:2017届浙江省嘉兴市十校九年级下学期4月联合模拟数学试卷(解析版) 题型:填空题

因式分解:         

查看答案和解析>>

科目:初中数学 来源:2017届浙江省嘉兴市十校九年级下学期4月联合模拟数学试卷(解析版) 题型:单选题

下列各图中,可以是一个正方体的表面展开图的是( )

A. B. C. D.

查看答案和解析>>

科目:初中数学 来源:2017届山东省济南市历下区九年级3月模拟考试数学试卷(解析版) 题型:解答题

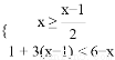
(1)计算:

(2)解不等式组,并把解集在数轴上表示出来。

查看答案和解析>>

科目:初中数学 来源:2017届山东省济南市历下区九年级3月模拟考试数学试卷(解析版) 题型:单选题

如图,中,,将绕点顺时针旋转得到,当点三点共线时,旋转角为,连接,交于点。下面结论:①为等腰三角形;②;③;④中,正确的是(  )

A. ①③④ B. ①②④ C. ②③④ D. ①②③④

查看答案和解析>>

科目:初中数学 来源:2017届安徽合肥市九年级中考模拟数学试卷(解析版) 题型:解答题

初三年(4)班要举行一场毕业联欢会,主持人同时转动下图中的两个转盘,由一名同学在转动前来判断两个转盘上指针所指的两个数字之和是奇数还是偶数,如果判断错误,他就要为大家表演一个节目;如果判断正确,他可以指派别人替自己表演节目.现在轮到小明来选择,小明不想自己表演,于是他选择了偶数.

小明的选择合理吗?从概率的角度进行分析(要求用树状图或列表方法求解)

查看答案和解析>>

科目:初中数学 来源:2017届山东省济南市区九年级学业水平考试第二次模拟考试数学试卷(解析版) 题型:单选题

从1,2,-3三个数中,随机抽取两个数相乘,积是正数的概率是(  )

A. 0 B. C. D. 1

查看答案和解析>>

同步练习册答案