精英家教网 > 初中数学 > 题目详情

计算

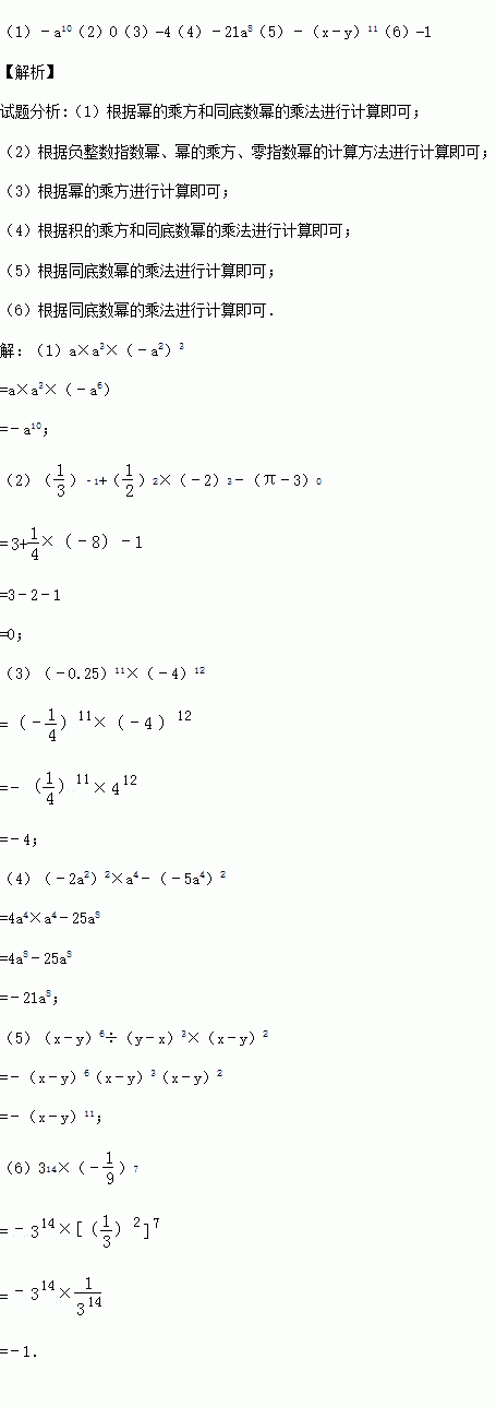
(1)a×a3×(﹣a2)3

(2)()﹣1+()2×(﹣2)3﹣(π﹣3)0

(3)(﹣0.25)11×(﹣4)12

(4)(﹣2a2)2×a4﹣(﹣5a4)2.

(5)(x﹣y)6÷(y﹣x)3×(x﹣y)2

(6)314×(﹣)7.

练习册系列答案
相关习题

科目:初中数学 来源:2015-2016学年山东临沂市七年级下第一次月考数学卷(解析版) 题型:填空题

如图直线AB、CD、EF相交于点O,是∠AOC的邻补角是 ,∠DOA的对顶角是 ,若∠AOC=50°,则∠BOD= 度,∠COB= 度.

查看答案和解析>>

科目:初中数学 来源:2015-2016学年江苏镇江市七年级下第一次月考数学卷(解析版) 题型:解答题

如图,射线OA∥射线CB,∠C=∠OAB=100°.点D、E在线段CB上,且∠DOB=∠BOA,OE平分∠DOC.

(1)试说明AB∥OC的理由;

(2)试求∠BOE的度数;

(3)平移线段AB;

①试问∠OBC:∠ODC的值是否会发生变化?若不会,请求出这个比值;若会,请找出相应变化规律.

②若在平移过程中存在某种情况使得∠OEC=∠OBA,试求此时∠OEC的度数.

查看答案和解析>>

科目:初中数学 来源:2015-2016学年江苏镇江市七年级下第一次月考数学卷(解析版) 题型:填空题

一个多边形的内角和是外角和的2倍,则这个多边形的边数为

查看答案和解析>>

科目:初中数学 来源:2015-2016学年江苏镇江市七年级下第一次月考数学卷(解析版) 题型:填空题

计算:(﹣a2)3+(﹣a3)2=

查看答案和解析>>

科目:初中数学 来源:2015-2016学年江苏省镇江市七年级下第一次月考数学卷(解析版) 题型:填空题

如图,把一个长方形纸片沿EF折叠后,点D、C分别落在D′、C′的位置.若∠EFB=65°,则∠AED′等于 °.

查看答案和解析>>

科目:初中数学 来源:2015-2016学年江苏省镇江市七年级下第一次月考数学卷(解析版) 题型:填空题

如图,点D在△ABC边BC的延长线上,CE平分∠ACD,∠A=80°,∠B=40°,则∠ACE的大小是 度.

查看答案和解析>>

科目:初中数学 来源:2015-2016学年江苏省镇江市丹阳市丹北片七年级下第一次月考数学卷(解析版) 题型:解答题

如图,点E在直线DF上,点B在直线AC上,若∠AGB=∠EHF,∠C=∠D.

则∠A=∠F,请说明理由.

【解析】
∵∠AGB=∠EHF

∠AGB= (对顶角相等)

∴∠EHF=∠DGF

∴DB∥EC

∴∠ =∠DBA ( 两直线平行,同位角相等)

又∵∠C=∠D

∴∠DBA=∠D

∴DF∥ (内错角相等,两直线平行)

∴∠A=∠F

查看答案和解析>>

科目:初中数学 来源:2015-2016学年江苏省镇江市丹阳市丹北片八年级下第一次月考数学卷(解析版) 题型:选择题

如图,?ABCD的对角线AC、BD相交于点O,EF、GH过点O,且点E、H在边AB上,点G、F在边CD上,向?ABCD内部投掷飞镖(每次均落在?ABCD内,且落在?ABCD内任何一点的机会均等)恰好落在阴影区域的概率为( )

A. B. C. D.

查看答案和解析>>

同步练习册答案