精英家教网 > 初中数学 > 题目详情

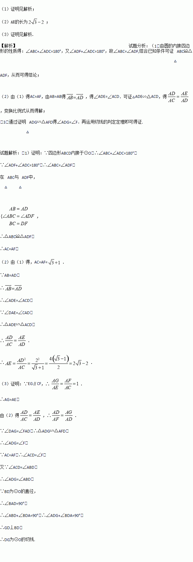
如图,四边形ABCD内接于⊙O,AB=AD,对角线BD为⊙O的直径,AC与BD交于点E.点F为CD延长线上,且DF=BC.

(1)证明:AC=AF;

(2)若AD=2,AF=,求AE的长;

(3)若EG∥CF交AF于点G,连接DG.证明:DG为⊙O的切线.

练习册系列答案
相关习题

科目:初中数学 来源:【全国区级联考】广东省汕头市濠江区2017届九年级5月中考模拟数学试卷 题型:解答题

为落实国务院房地产调控政策,使“居者有其屋”,某市加快了廉租房的建设力度.2014年市政府共投资2亿元人民币建设了廉租房8万平方米,预计到2016年底三年共累计投资9.5亿元人民币建设廉租房.若在这两年内每年投资的增长率相同.

(1)求每年市政府投资的增长率;

(2)若这两年内的建设成本不变,求到2016年底共建设了多少万平方米的廉租房?

查看答案和解析>>

科目:初中数学 来源:【全国区级联考】山东省滨州市滨城区2017届九年级第二次模拟数学试卷 题型:单选题

下面的图形中,既是轴对称图形又是中心对称图形的是(  )

A. B. C. D.

查看答案和解析>>

科目:初中数学 来源:【全国区级联考】广东省汕头市濠江区2017届九年级5月模拟考试数学试卷 题型:填空题

数据:3、5、4、5、2、3、4的中位数是 ___________________________.

查看答案和解析>>

科目:初中数学 来源:【全国区级联考】广东省汕头市濠江区2017届九年级5月模拟考试数学试卷 题型:单选题

下列运算正确的是(   )

A. B. C. (-2x2y)3=-8 x6y3 D.

查看答案和解析>>

科目:初中数学 来源:【全国区级联考】广东省汕头市金平区2017届九年级5月模拟考试数学试卷 题型:解答题

在平行四边形ABCD中,AB=2AD.

(1)作AE平分∠BAD交DC于E(尺规作图,保留作图痕迹);

(2)在(1)的条件下,连接BE,判定△ABE的形状(不要求证明).

查看答案和解析>>

科目:初中数学 来源:【全国区级联考】广东省汕头市金平区2017届九年级5月模拟考试数学试卷 题型:填空题

一个多边形的每个外角都是60°,则这个多边形边数为______.

查看答案和解析>>

科目:初中数学 来源:辽宁省丹东市2016-2017学年北师大版七年级(下)期中模拟数学试卷 题型:解答题

先化简,再求值

(1)(a+2b)(a﹣2b)+(a+2b)2+4ab,其中a=1,b=

(2)(﹣a2b+2ab﹣b2)÷b+(a+b)(a﹣b),其中a=,b=﹣1.

查看答案和解析>>

科目:初中数学 来源:重庆市江津区六校2016-2017学年八年级下学期期中联考数学试卷 题型:单选题

若点A(2,4)在函数y=kx-2的图象上,则下列各点在此函数图象上的是

A. B. C. (8,20) D.

查看答案和解析>>

同步练习册答案