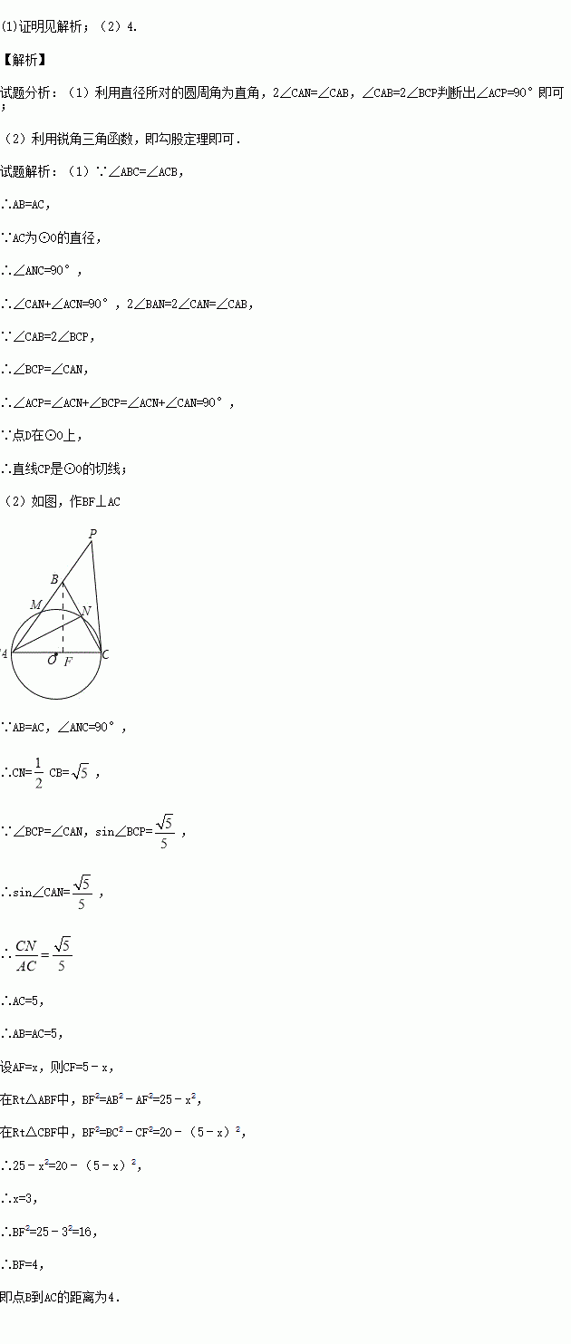
如图,在△ABC中,∠ABC=∠ACB,以AC为直径的⊙O分别交AB、BC于点M、N,点P在AB的延长线上,且∠CAB=2∠BCP.
![]()
(1)求证:直线CP是⊙O的切线;
(2)若BC=2
,sin∠BCP=
,求点B到AC的距离.
科目:初中数学 来源:2016届天津市津南区东片学区九年级下期中数学试卷(解析版) 题型:解答题
某校为了了解初三年级1000名学生的身体健康情况,从该年级随机抽取了若干名学生,将他们按体重(均为整数,单位:kg)分成五组(A:39.5~46.5;B:46.5~53.5;C:53.5~60.5;D:60.5~67.5;E:67.5~74.5),并依据统计数据绘制了如下两幅尚不完整的统计图.
![]()
解答下列问题:
(1)这次抽样调查的样本容量是 ,并补全频数分布直方图;
(2)C组学生的频率为 ,在扇形统计图中D组的圆心角是 度;
(3)请你估计该校初三年级体重超过60kg的学生大约有多少名?
查看答案和解析>>
科目:初中数学 来源:2016届天津市河东区中考模拟数学试卷(解析版) 题型:选择题
顺次连接矩形ABCD各边中点,所得四边形必定是( )
A.邻边不等的平行四边形
B.矩形
C.正方形
D.菱形
查看答案和解析>>
科目:初中数学 来源:2016届四川省自贡市六校中考二模数学试卷(解析版) 题型:选择题
如图,平面直角坐标系中,直线y=-x+a与x、y轴的正半轴分别交于点B和点A,与反比例函数y=-
的图象交于点C,若BA:AC=2:1,则a的值为( )
![]()
A.2 B.-2 C.3 D.-3
查看答案和解析>>
科目:初中数学 来源:2016届四川省自贡市六校中考二模数学试卷(解析版) 题型:选择题
下列图形其中,既是轴对称图形,又是中心对称图形的个数是( )
![]()
A.1个 B.2个 C.3个 D.4个
查看答案和解析>>
科目:初中数学 来源:2016届山东省潍坊市中考一模数学试卷(解析版) 题型:填空题
如图,正方形ABCD边长为4,以BC为直径的半圆O交对角线BD于E.阴影部分面积为(结果保留π) .
![]()
查看答案和解析>>
科目:初中数学 来源:2016届山东省潍坊市中考一模数学试卷(解析版) 题型:选择题
二次函数y=ax2+bx+c的图象如图所示,则一次函数y=bx+a的图象不经过( )
![]()
A.第一象限 B.第二象限 C.第三象限 D.第四象限
查看答案和解析>>
科目:初中数学 来源:2016届山东省临沂市沂水县中考一模数学试卷(解析版) 题型:填空题
在一个数列中,如果从第二项起,每一项与它的前一项的差等于同一个常数,这个数列就叫做等差数列,这个常数叫做该数列的公差,如1,3,5,7,9…,就是一个等差数列,其公差为2,已知数列a1,a2,…an是等差数列,且a1=2,公差为5,那么a32的值为 .
查看答案和解析>>
湖北省互联网违法和不良信息举报平台 | 网上有害信息举报专区 | 电信诈骗举报专区 | 涉历史虚无主义有害信息举报专区 | 涉企侵权举报专区
违法和不良信息举报电话:027-86699610 举报邮箱:58377363@163.com