科目:初中数学 来源:2016-2017学年山东省泰安市泰山区六年级(五四制)上学期期末学情检测数学试卷(解析版) 题型:单选题
|-7|的相反数是
A.
B. -
C. 7 D. -7
查看答案和解析>>
科目:初中数学 来源:2017届江苏省丹阳市九年级下学期期中考试数学试卷(解析版) 题型:单选题
如图,转盘被平均分成8个区域,每个区域分别标注数字1、2、3,任意转动转盘,当转盘停止转动时,将指针所指区域标注的数字记录下来,(若指针落在交界线上,则重转一次),如此重复200次,则在所记录的200个数字中,众数最有可能是( )
![]()
A. 1 B. 2 C. 3 D. 200
查看答案和解析>>
科目:初中数学 来源:2016-2017学年江苏省宜兴外国语学校八年级上学期期中考试数学试卷(解析版) 题型:解答题
小王剪了两张直角三角形纸片,进行了如下的操作:
(1)如图1,将Rt△ABC沿某条直线折叠,使斜边的两个端点A与B重合,折痕为DE,若AC=6cm,BC=8cm,求CD的长.
(2)如图2,小王拿出另一张Rt△ABC纸片,将直角边AC沿直线AD折叠,使它落在斜边AB上,且与AE重合,若AC=6cm,BC=8cm,求CD的长
![]()
查看答案和解析>>
科目:初中数学 来源:2016-2017学年江苏省宜兴外国语学校八年级上学期期中考试数学试卷(解析版) 题型:填空题
我国古代数学中有一道数学题:如图,有一棵枯树直立在地上,树高20尺,粗3尺,有一根藤条从树根处缠绕而上,缠绕5周到达树顶,则这条树藤有________尺.(注:枯树可以看成圆柱;树粗3尺,指的是圆柱底面周长为3尺)
![]()
查看答案和解析>>
科目:初中数学 来源:2016-2017学年江苏省宜兴外国语学校八年级上学期期中考试数学试卷(解析版) 题型:单选题
如图,王大伯家屋后有一块长12m、宽8m的长方形空地,他在以较长边BC为直径的半圆内种菜,他家养的一只羊平时拴在A处的一棵树上,为了不让羊吃到菜,拴羊的绳长最长不超过( )
![]()
A. 3m B. 4m C. 5m D. 6m
查看答案和解析>>
科目:初中数学 来源:2016-2017学年江苏省无锡市锡北片七年级下学期期中考试数学试卷(解析版) 题型:解答题
长江汛期即将来临,防汛指挥部在一危险地带两岸各安置了一探照灯,便于夜间查看江水及两
岸河堤的情况.如图,灯A射线自AM顺时针旋转至AN便立即回转,灯B射线自BP顺时针旋转至BQ便立即回转,两灯不停交叉照射巡视.若灯A转动的速度是a°/秒,灯B转动的速度是b°/秒,且a、b满足|a﹣3b|+(a+b﹣4)2=0.假定这一带长江两岸河堤是平行的,即PQ∥MN,且∠BAN=45°
(1)求a、b的值;
(2)若灯B射线先转动20秒,灯A射线才开始转动,在灯B射线到达BQ之前,A
灯转动几秒,两灯的光束互相平行?
(3)如图,两灯同时转动,在灯A射线到达AN之前.若射出的光束交于点C,过C作CD⊥AC交PQ于点D,则在转动过程中,
= 。
![]()
查看答案和解析>>
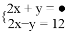
科目:初中数学 来源:2016-2017学年江苏省无锡市锡北片七年级下学期期中考试数学试卷(解析版) 题型:单选题
关于x,y的方程组
的解是
,其中y的值被盖住了,不过仍能求出p,则p的值是( )
A. -
B.
C. -
D. ![]()
查看答案和解析>>
科目:初中数学 来源:[首发]2016-2017学年江苏省南通市七年级下学期期中考试数学试卷(解析版) 题型:填空题
小亮解方程组
的解为
,由于不小心,滴上了两滴墨水, 刚好遮住了两个数
和★,请你帮他找回
这个数,
=_____________.
查看答案和解析>>
湖北省互联网违法和不良信息举报平台 | 网上有害信息举报专区 | 电信诈骗举报专区 | 涉历史虚无主义有害信息举报专区 | 涉企侵权举报专区
违法和不良信息举报电话:027-86699610 举报邮箱:58377363@163.com