如图,把△ABC纸片沿DE折叠,当点A落在四边形BCDE的外部时,则
与
和
之间有一种数量关系始终保持不变,你发现的规律是( )
![]()
A. ![]()
B. ![]()
C. ![]()
D. ![]()
科目:初中数学 来源:2016-2017学年江苏省江阴市华士片八年级下学期期中考试数学试卷(解析版) 题型:单选题
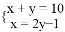
如果把
中的x和y都扩大到5倍,那么分式的值( )
A. 扩大5倍 B. 不变 C. 缩小5倍 D. 扩大4倍
查看答案和解析>>
科目:初中数学 来源:2017届浙江省杭州市大江东九年级第一次中考模拟考试数学试卷(解析版) 题型:填空题
同时掷两个质地均匀的骰子,观察向上一面的点数,两个骰子的点数相同的概率为 .
查看答案和解析>>
科目:初中数学 来源:2016-2017学年江苏省东台市第二教育联盟七年级下学期期中考试数学试卷(解析版) 题型:解答题
因式分【解析】
(1)x3-xy2 . (2)m3-6m2
+9m .
(3)m2(m﹣1)+4(1﹣m) (4)(a2+4)2﹣16a2
查看答案和解析>>
科目:初中数学 来源:2016-2017学年江苏省东台市第二教育联盟七年级下学期期中考试数学试卷(解析版) 题型:填空题
已知方程2x﹣3y﹣1=0,用x表示y,则y=_____________.
查看答案和解析>>
科目:初中数学 来源:2016-2017学年江苏省东台市第二教育联盟七年级下学期期中考试数学试卷(解析版) 题型:单选题
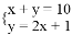
已知两数x、y之和是10,x比y的2倍大1,则下面所列方程组正确的是( )
A.
B.
C.
D. ![]()
查看答案和解析>>
科目:初中数学 来源:2017届山东省济南市历城区九年级第一次模拟考试数学试卷(解析版) 题型:解答题
2014年初,某市开始实施“旧物循环计划”,为旧物品二次利用提供了公益平台,到2014年底,全年回收旧物3万件,随着宣传力度的加大,2016年底全年回收旧物已经达6.75万件,若每年回收旧物的增长率相同.
(1)求每年回收旧物的增长率;
(2)按着这样的增长速度,请预测2017年全年回收旧物能超过10万件吗?
查看答案和解析>>
科目:初中数学 来源:2017届山东省济南市历城区九年级第一次模拟考试数学试卷(解析版) 题型:选择题
已知x=1是方程x
+b x-2=0的一个根,则方程的另一个根是
A.1 B.2 C.-2 D.-1
查看答案和解析>>
科目:初中数学 来源:2016-2017学年浙江省宁波市九校八年级下学期期中联考数学试卷(解析版) 题型:单选题
我们规定:将一个平面图形分成面积相等的两部分的直线叫做该平面图形的“等积线”,等积线被这个平面图形截得的线段叫做该图形的“等积线段”(例如三角形的中线就是三角形的等积线段).已知菱形的边长为4,且有一个内角为60°,设它的等积线段长为m,则m的取值范围是________.
查看答案和解析>>
湖北省互联网违法和不良信息举报平台 | 网上有害信息举报专区 | 电信诈骗举报专区 | 涉历史虚无主义有害信息举报专区 | 涉企侵权举报专区
违法和不良信息举报电话:027-86699610 举报邮箱:58377363@163.com