精英家教网 > 初中数学 > 题目详情

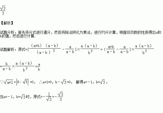
先化简,再求值:(+)÷,其中a,b满足+|b﹣|=0.

练习册系列答案
相关习题

科目:初中数学 来源:2016届江苏省无锡市九年级下学期第一次月考数学试卷(解析版) 题型:选择题

某市3月下旬抽样六天的最高气温如下(单位℃):18,19,20,21,19,23,对这组数据下列说法错误的是 ( )

A.平均数是20 B.众数是19 C.中位数是21 D. 都不正确

查看答案和解析>>

科目:初中数学 来源:2016届江苏省泰兴市九年级下学期第一次月考数学试卷(解析版) 题型:解答题

星期天,小华到小明家邀请小明到新华书店看书,当小华到达CD(点D是小华的眼睛)处时,发现小明在七楼A处,此时测得仰角为45°,继续向前走了10m到达C′D′处,发现小明在六楼B处,此时测得仰角为60°,已知楼层高AB=2.7m,求OC′的长.(参考数据:)

查看答案和解析>>

科目:初中数学 来源:2016届江苏省泰兴市九年级下学期第一次月考数学试卷(解析版) 题型:选择题

如图,⊙P经过点A(0,)、O(0,0)、B(1,0),点C在第一象限的上,则∠BCO的度数为( )

A.15° B.30° C.45° D.60°

查看答案和解析>>

科目:初中数学 来源:2016届江苏省两校联考九年级下第一次月考数学卷(解析版) 题型:解答题

今年是扬州城庆2500周年,东关历史街区某商铺用3000元批发某种城庆旅游纪念品销售,由于销售状况良好,该商铺又筹集9000元资金再次批进该种纪念品,但这次的进价比第一次的进价提高了20%,购进的纪念品数量是第一次的2倍还多300个,如果商铺按9元/个的价格出售,当大部分纪念品售出后,余下的600个按售价的8折售完.

(1)该种纪念品第一次的进货单价是多少元?

(2)该商铺销售这种纪念品共盈利多少元?

查看答案和解析>>

科目:初中数学 来源:2016届江苏省两校联考九年级下第一次月考数学卷(解析版) 题型:填空题

如图,在⊙O中,弦AB∥CD,若∠ABC=40°,则∠BOD的度数为 .

查看答案和解析>>

科目:初中数学 来源:2016届江苏省两校联考九年级下第一次月考数学卷(解析版) 题型:选择题

,令,则称,……,这列数的“凯森和”.已知,……,的“凯森和”为2004,那么13,,……,的“凯森和”为( )

A.2013 B.2015 C.2017 D.2019

查看答案和解析>>

科目:初中数学 来源:2016届江苏省九年级下学期第一次月考数学试卷(解析版) 题型:解答题

(1)计算:

(2)化简:-(a-2).

查看答案和解析>>

科目:初中数学 来源:2016届江苏省启东市九年级3月月考数学试卷(解析版) 题型:选择题

南海是我国固有领海,它的面积约为360万平方千米,360万用科学记数法可表示为( )

A.3.6×102 B.360×104 C.3.6×104 D.3.6×106

查看答案和解析>>

同步练习册答案