精英家教网 > 初中数学 > 题目详情

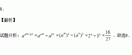
已知,则的值是( )

A. B. C. D.

练习册系列答案
相关习题

科目:初中数学 来源:2015-2016学年江苏省八年级上学期期中考试数学试卷(解析版) 题型:解答题

如图,等腰△ABC中,AB=AC,∠A=40°,线段AB的垂直平分线交AB于D,交AC于E,连接BE,求∠CBE的度数.

查看答案和解析>>

科目:初中数学 来源:2015-2016学年湖南省邵阳县黄亭市七年级上学期期中数学试卷(解析版) 题型:选择题

某商店上月的营业额是a万元,本月比上月增长15%,那么本月的营业额是( )

A.15%(a+1)万元 B.15% a万元

C.(1+15%)a万元 D.万元

查看答案和解析>>

科目:初中数学 来源:2015-2016学年湖南省邵阳县黄亭市八年级上学期期中数学试卷(解析版) 题型:填空题

等腰三角形的两条边长分别是5cm和7cm,则该三角形的周长为 .

查看答案和解析>>

科目:初中数学 来源:2015-2016学年湖南省邵阳县黄亭市八年级上学期期中数学试卷(解析版) 题型:选择题

有下列命题:①两点之间,线段最短;②相等的角是对顶角;③内错角互补,两直线平行.其中真命题的有( )

A.1个 B.2个 C.3个 D.0个

查看答案和解析>>

科目:初中数学 来源:2015-2016学年安徽省蚌埠新城教育集团八年级上学期期中数学试卷(解析版) 题型:解答题

已知:如图1,线段AB、CD相交于点O,连接AD、CB,我们把形如图1的图形称之为“8字形”.试解答下列问题:

(1)在图1中,请直接写出∠A、∠B、∠C、∠D之间的数量关 ;

(2)在图2中,若∠D=40°,∠B=36°,∠DAB和∠BCD的平分线AP和CP相交于点P,并且与CD、AB分别相交于M、N.利用(1)的结论,试求∠P的度数;

(3)如果图2中∠D和∠B为任意角时,其他条件不变,试问∠P与∠D、∠B之间存在着怎样的数量关系?并说明理由.

查看答案和解析>>

科目:初中数学 来源:2015-2016学年安徽省蚌埠新城教育集团八年级上学期期中数学试卷(解析版) 题型:填空题

成正比例,且当x=1时,y=4,则当x=2时,y= _________ .

查看答案和解析>>

科目:初中数学 来源:2016届江苏省无锡市北塘区九年级上学期期中考试数学试卷(解析版) 题型:解答题

如图,在△ABC中,AD为∠BAC的平分线,点E在BC的延长线上,且∠EAC=∠B,以DE为直径的半圆交AD于点F,交AE于点M.

(1)判断AF与DF的数量关系,并说明理由.

(2)只用无刻度的直尺画出△ADE的边DE上的高AH(不要求写做法,保留作图痕迹) .

(3)若EF=8,DF=6,求DH的长.

查看答案和解析>>

科目:初中数学 来源:2016届江苏省泰兴市九年级上学期期中考试数学试卷(解析版) 题型:填空题

已知线段a、b、c、d是成比例线段,且a=2cm,b=0.6cm,c=4cm,那么d= ㎝.

查看答案和解析>>

同步练习册答案