精英家教网 > 初中数学 > 题目详情

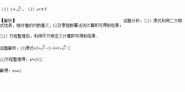
(1)计算:+|1-|-(π-1)0 ;(2)解方程:3x2﹣75=0.

练习册系列答案
相关习题

科目:初中数学 来源:2016-2017学年山东省泰安市泰山区六年级(五四制)上学期期末学情检测数学试卷(解析版) 题型:单选题

小明做了以下4道计算题:①(-1)2010=2010;②0-(-1)=-l;③-+=-;④÷(-)=-1. 其中做对的共有

A. 1道 B. 2道 C. 3道 D. 4道

查看答案和解析>>

科目:初中数学 来源:2017届江苏省丹阳市九年级下学期期中考试数学试卷(解析版) 题型:解答题

如图,点A、C、B、D在同一条直线上,BE∥DF,∠A=∠F,AB=FD.

(1)求证:AE=FC.

(2)若∠E=30°,∠D=45°,求∠F的大小。

查看答案和解析>>

科目:初中数学 来源:2017届江苏省丹阳市九年级下学期期中考试数学试卷(解析版) 题型:填空题

如图,在△ABC中,点D、E、F分别是三条边上的点,EF∥AC,DF∥AB,∠B=45°,∠C=60°.则∠EFD=______°.

查看答案和解析>>

科目:初中数学 来源:2016-2017学年江苏省宜兴外国语学校八年级上学期期中考试数学试卷(解析版) 题型:解答题

小王剪了两张直角三角形纸片,进行了如下的操作:

(1)如图1,将Rt△ABC沿某条直线折叠,使斜边的两个端点A与B重合,折痕为DE,若AC=6cm,BC=8cm,求CD的长.

(2)如图2,小王拿出另一张Rt△ABC纸片,将直角边AC沿直线AD折叠,使它落在斜边AB上,且与AE重合,若AC=6cm,BC=8cm,求CD的长

查看答案和解析>>

科目:初中数学 来源:2016-2017学年江苏省宜兴外国语学校八年级上学期期中考试数学试卷(解析版) 题型:填空题

如图,在△ABC中,AB=AC=9cm,DE是AB的垂直平分线,分别交AB、AC于D、E两点.若BC=6cm,则△BCE的周长是__________ cm.

查看答案和解析>>

科目:初中数学 来源:2016-2017学年江苏省宜兴外国语学校八年级上学期期中考试数学试卷(解析版) 题型:单选题

如图,王大伯家屋后有一块长12m、宽8m的长方形空地,他在以较长边BC为直径的半圆内种菜,他家养的一只羊平时拴在A处的一棵树上,为了不让羊吃到菜,拴羊的绳长最长不超过( )

A. 3m B. 4m C. 5m D. 6m

查看答案和解析>>

科目:初中数学 来源:2016-2017学年江苏省无锡市锡北片七年级下学期期中考试数学试卷(解析版) 题型:填空题

将边长相等的一个正方形与一个正五边形,按如图重叠放置,则∠1度数=

查看答案和解析>>

科目:初中数学 来源:[首发]2016-2017学年江苏省南通市七年级下学期期中考试数学试卷(解析版) 题型:解答题

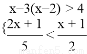
解不等式组,并写出它的整数解.

查看答案和解析>>

同步练习册答案