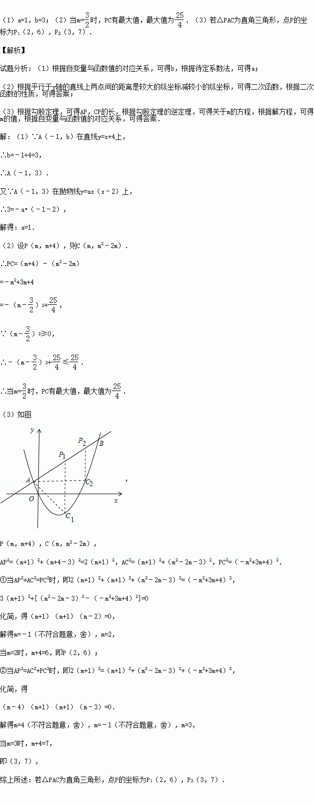
已知一次函数y=x+4的图象与二次函数y=ax(x﹣2)的图象相交于A(﹣1,b)和B,点P是线段AB上的动点(不与A、B重合),过点P作PC⊥x轴,与二次函数y=ax(x﹣2)的图象交于点C.
![]()
(1)求a、b的值
(2)求线段PC长的最大值;
(3)若△PAC为直角三角形,请直接写出点P的坐标.
科目:初中数学 来源:2016届内蒙古鄂尔多斯市九年级上学期期末数学试卷(解析版) 题型:解答题
(2015秋•达拉特旗校级期末)用适当的方法解方程:
(1)x2﹣3
x=0
(2)(2+x)2﹣9=0.
查看答案和解析>>
科目:初中数学 来源:2016届江苏省扬州市邗江区九年级上学期期中数学试卷(解析版) 题型:解答题
(2015秋•邗江区期中)如图,半圆O直径DE=12,Rt△ABC中,BC=12,∠ACB=90°,∠ABC=30°.半圆O从左到右运动,在运动过程中,点D,E始终在直线BC上,半圆O在△ABC的左侧.
![]()
(1)当△ABC的一边与半圆O相切时,请画出符合题意得图形.
(2)当△ABC的一边与半圆O相切时,如果半圆O与直径DE围成的区域与△ABC的三边围成的区域有重叠部分,求重叠部分的面积.
查看答案和解析>>
科目:初中数学 来源:2016届江苏省扬州市邗江区九年级上学期期中数学试卷(解析版) 题型:填空题
(2012•泰兴市校级三模)已知圆锥的底面半径为3cm,侧面积为15πcm2,则这个圆锥的侧面展开图的圆心角 °.
查看答案和解析>>
科目:初中数学 来源:2016届江苏省扬州市邗江区九年级上学期期中数学试卷(解析版) 题型:选择题
(2015•黔东南州)已知一组数据2,3,4,x,1,4,3有唯一的众数4,则这组数据的平均数、中位数分别是( )
A.4,4 B.3,4 C.4,3 D.3,3
查看答案和解析>>
科目:初中数学 来源:2016届江苏省南京市玄武区九年级上学期期末数学试卷(解析版) 题型:解答题
如图,在半径为2的⊙O中,弦AB长为2.
![]()
(1)求点O到AB的距离.
(2)若点C为⊙O上一点(不与点A,B重合),求∠BCA的度数.
查看答案和解析>>
科目:初中数学 来源:2016届江苏省南京市玄武区九年级上学期期末数学试卷(解析版) 题型:填空题
已知二次函数y=ax2+bx+c中,函数y与自变量x的部分对应值如表,则当x=3时,y= .
x | … | ﹣3 | ﹣2 | ﹣1 | 0 | 1 | … |
y | … | 7 | 3 | 1 | 1 | 3 | … |
查看答案和解析>>
科目:初中数学 来源:2016届江苏省南京市溧水区九年级上学期期末数学试卷(解析版) 题型:解答题
(2015秋•南京期末)如图,在ABC中,∠A=∠B=30°,过点C作CD⊥AC,交AB于点D.
![]()
(1)作△ACD外接圆⊙O(尺规作图,保留作图痕迹,不写作法);
(2)判断直线BC与⊙O的位置关系,并证明你的结论.
查看答案和解析>>
科目:初中数学 来源:2016届湖南省恩施州咸丰县五校九年级上学期联考数学试卷(解析版) 题型:选择题
(2015秋•湖南月考)将抛物线y=
x2﹣6x+21绕原点旋转180°后,所得新抛物线的解析式为( )
A.y=
x2+6x+21
B.y=﹣
x2+6x﹣21
C.y=﹣
x2﹣6x+21
D.y=﹣
x2﹣6x﹣21
查看答案和解析>>
湖北省互联网违法和不良信息举报平台 | 网上有害信息举报专区 | 电信诈骗举报专区 | 涉历史虚无主义有害信息举报专区 | 涉企侵权举报专区
违法和不良信息举报电话:027-86699610 举报邮箱:58377363@163.com