精英家教网 > 初中数学 > 题目详情

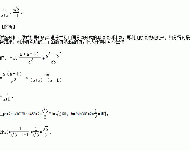
先化简,再求代数式的值÷(),其中a=2cos30°﹣tan45°,b=2sin30°.

练习册系列答案
相关习题

科目:初中数学 来源:2015-2016学年安徽省八年级下3月月考数学试卷(解析版) 题型:填空题

当方程(m+1)x﹣2=0是一元二次方程时,m的值为

查看答案和解析>>

科目:初中数学 来源:2016届浙江省湖州市长兴县九年级下返校考数学试卷(解析版) 题型:解答题

平面上,矩形ABCD与直径为QP的半圆K如图1摆放,分别延长DA和QP交于点O,且∠DOQ=60°,OQ=OD=3,OP=2,OA=AB=1.让线段OD及矩形ABCD位置固定,将线段OQ连带着半圆K一起绕着点O按逆时针方向开始旋转,设旋转角为α(0°≤α≤60°).

发现:如图2,当点P恰好落在BC边上时,求a的值即阴影部分的面积;

拓展:如图3,当线段OQ与CB边交于点M,与BA边交于点N时,设BM=x(x>0),用含x的代数式表示BN的长,并求x的取值范围.

探究:当半圆K与矩形ABCD的边相切时,直接写出sinα的值.

查看答案和解析>>

科目:初中数学 来源:2016届浙江省湖州市长兴县九年级下返校考数学试卷(解析版) 题型:选择题

将抛物线y=(x﹣1)2+1向下平移1个单位,所得新抛物线的解析式为( )

A.y=(x﹣1)2+2 B.y=(x﹣1)2 C.y=(x﹣2)2+1 D.y=x2+1

查看答案和解析>>

科目:初中数学 来源:2016届黑龙江省哈尔滨市九年级下2月月考数学试卷(解析版) 题型:解答题

⊙O为△ABC的外接圆,过圆外一点P作⊙O的切线PA,且PA∥BC.

(1)如图1,求证:△ABC为等腰三角形:

(2)如图2,在AB边上取一点E,AC边上取一点F,直线EF交PA于点M,交BC的延长线于点N,若ME=FN,求证:AE=CF;

(3)如图3,在(2)的条件下,连接OE、OF,∠EOF=120°,,EF=,求⊙O的半径长.

查看答案和解析>>

科目:初中数学 来源:2016届黑龙江省哈尔滨市九年级下2月月考数学试卷(解析版) 题型:填空题

如图,⊙O中,AD、BC是圆O的弦,OA⊥BC,∠AOB=52°,CE⊥AD,则∠DCE的度数是

查看答案和解析>>

科目:初中数学 来源:2016届黑龙江省哈尔滨市九年级下2月月考数学试卷(解析版) 题型:选择题

已知二次函数y=ax2﹣bx图象的开口向上且对称轴在y轴的右侧,则直线y=ax﹣b经过的象限是( )

A.第一、二、三象限 B.第一、二、四象限

C.第一、三、四象限 D.第二、三、四象限

查看答案和解析>>

科目:初中数学 来源:2016届福建省厦门外国语学校海沧附属学校九年级上期中数学试卷(解析版) 题型:解答题

已知二次函数图象的顶点坐标为(1,﹣1),且经过原点(0,0),求该函数的解析式.

查看答案和解析>>

科目:初中数学 来源:2015-2016学年天津市和平区七年级下期中数学试卷(解析版) 题型:选择题

平面直角坐标系中,点(﹣2,4)关于x轴的对称点在( )

A.第一象限 B.第二象限 C.第三象限 D.第四象限

查看答案和解析>>

同步练习册答案