精英家教网 > 初中数学 > 题目详情

不透明的袋子中装有形状、大小、质地完全相同的6个球,其中4个黑球、2个白球,从袋子中一次摸出3个球,下列事件是不可能事件的是( )

A. 摸出的3个白球 B. 摸出的是3个黑球

C. 摸出的是2个白球、1个黑球 D. 摸出的是2个黑球、1个白球

练习册系列答案
相关习题

科目:初中数学 来源:2016-2017学年河北省石家庄市长安区七年级下学期期中质量检测数学试卷(解析版) 题型:单选题

将如图所示的图案通过平移后可以得到的图案是( )

A. B. C. D.

查看答案和解析>>

科目:初中数学 来源:2017届安徽省芜湖市中考一模数学试卷(解析版) 题型:单选题

如图所示,直线l和反比例函数y=(k>0)的图象的一支交于A,B两点,P是线段AB上的点(不与A,B重合),过点A,B,P分别向x轴作垂线,垂足分别是C,D,E,连接OA,OB,OP,设△AOC面积是S1,△BOD面积是S2,△POE面积是S3,则( )

A. S1<S2<S3 B. S1>S2>S3 C. S1= S2>S3 D. S1= S2<S3

查看答案和解析>>

科目:初中数学 来源:2017届湖北省武汉市中考模拟数学试卷(解析版) 题型:填空题

如图,△ABC内接于⊙O,BC=12,∠A=60°,点D为弧BC上一动点,BE⊥直线OD于点E.当点D从点B沿弧BC运动到点C时,点E经过的路径长为___________

查看答案和解析>>

科目:初中数学 来源:2017届湖北省武汉市中考模拟数学试卷(解析版) 题型:单选题

在直角坐标系中,我们把横、纵坐标都为整数的点叫做整点.对于一条直线,当它与一个圆的公共点都是整点时,我们把这条直线称为这个圆的“整点直线”.已知⊙O是以原点为圆心,半径为 圆,则⊙O的“整点直线”共有( )条

A. 7 B. 8 C. 9 D. 10

查看答案和解析>>

科目:初中数学 来源:2017届湖北省枣阳市九年级下学期期中考试数学试卷(解析版) 题型:解答题

如图,正方形ABCD的边长是,点P是对角线AC上的一个点(不与A,C两点重合),连接BP,并将线段BP绕点B顺时针旋转90°得到线段BP′,连接PP′,CP′,PP′与BC相交于点E.

(1)求证:△BAP≌△BCP′;

(2)探究:线段PA,PC,PB之间满足什么数量关系,请写出结论并证明;

(3)若PA<PC,当PB=时, 求BE的长.

查看答案和解析>>

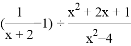
科目:初中数学 来源:2017届湖北省枣阳市九年级下学期期中考试数学试卷(解析版) 题型:解答题

先化简再求值:,其中x=-1.

查看答案和解析>>

科目:初中数学 来源:2017届江苏省苏州市高新区九年级下学期第一次模拟考试数学试卷(解析版) 题型:解答题

如图,在平面直角坐标系中,直线AB与x轴,y轴分别交于点A(-4,0),B(0,3),动点P从点O出发,沿x轴负方向以每秒1个单位的速度运动,同时动点Q从点B出发,沿射线BO方向以每秒2个单位的速度运动,过点P作PC⊥AB于点C,连接PQ,CQ,以PQ,CQ为邻边构造平行四边形PQCD,设点P运动的时间为t秒.

(1)当点Q在线段OB上时,用含t的代数式表示PC,AC的长;

(2)在运动过程中.

①当点D落在x轴上时,求出满足条件的t的值;

②若点D落在△ABO内部(不包括边界)时,直接写出t的取值范围;

(3)作点Q关于x轴的对称点Q′,连接CQ′,在运动过程中,是否存在某时刻使过A,P,C三点的圆与△CQQ′三边中的一条边相切?若存在,请求出t的值;若不存在,请说明理由.

查看答案和解析>>

科目:初中数学 来源:2017届浙江省瑞安市五校联考九年级下学期第二次模拟考试数学试卷(解析版) 题型:填空题

因式分【解析】
=____.

查看答案和解析>>

同步练习册答案