解:(1)∵M为抛物线y=-

+c的顶点,
∴M(2,c).
∴OH=2,MH=|c|.
∵a<0,且抛物线与x轴有交点,
∴c>0,
∴MH=c,
∵sin∠MOH=

,
∴

=

.
∴OM=

c,
∵OM
2=OH
2+MH
2,
∴MH=c=4,
∴M(2,4),
∴抛物线的函数表达式为:y=-

+4.
(2)如图1,∵OE⊥PH,MF⊥PH,MH⊥OH,
∴∠EHO=∠FMH,∠OEH=∠HFM.
∴△OEH∽△HFM,
∴

=

=

,
∵

=

,
∴MF=HF,
∴∠OHP=∠FHM=45°,
∴OP=OH=2,
∴P(0,2).
如图2,同理可得,P(0,-2).

(3)∵A(-1,0),
∴D(1,0),
∵M(2,4),D(1,0),
∴直线MD解析式:y=4x-4,
∵ON∥MH,∴△AON∽△AHM,
∴

=

=

=

,
∴AN=

,ON=

,N(0,

).
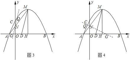
如图3,若△ANG∽△AMD,可得NG∥MD,
∴直线QG解析式:y=4x+

,
如图4,若△ANG∽△ADM,可得

=

∴AG=

,
∴G(

,0),
∴QG:y=-

x+

,
综上所述,符合条件的所有直线QG的解析式为:y=4x+

或y=-

x+

.

分析:(1)由抛物线y=-

+c与x轴交于A、B两点(点A在点B的左侧),交y轴的正半轴于点C,其顶点为M,MH⊥x轴于点H,MA交y轴于点N,sin∠MOH=

,求出c的值,进而求出抛物线方程;
(2)如图1,由OE⊥PH,MF⊥PH,MH⊥OH,可证△OEH∽△HFM,可知HE,HF的比例关系,求出P点坐标;
(3)首先求出D点坐标,写出直线MD的表达式,由两直线平行,两三角形相似,可得NG∥MD,直线QG解析式.
点评:本题二次函数的综合题,要求会求二次函数的解析式和两图象的交点,会应用三角形相似定理,本题步骤有点多,做题需要细心.