精英家教网 > 初中数学 > 题目详情

【题目】下表中是一次函数的自变量x与函数y的部分对应值.

x

﹣2

0

1

y

1

m

4

(1)求一次函数的表达式并求m的值.
(2)画出函数图象,结合图象思考:若y>0,则x的取值范围.

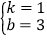
【答案】解:(1)设一次函数的解析式是y=kx+b,

解得:
则一次函数的解析式是y=x+3,
把x=0代入得m=3;
(2)如图:

根据图象可得:y>0,则x的取值范围是x>﹣3.
故答案是:x>﹣3.
【解析】(1)利用待定系数法把(﹣2,1)和(1,4)代入函数解析式即可求得;
    (2)作出函数的图象,当y>0时,求x的范围就是确定函数图象在x轴上方部分x的范围,据此即可解答.
【考点精析】解答此题的关键在于理解确定一次函数的表达式的相关知识,掌握确定一个一次函数,需要确定一次函数定义式y=kx+b(k不等于0)中的常数k和b.解这类问题的一般方法是待定系数法.

练习册系列答案
相关习题

科目:初中数学 来源: 题型:

【题目】请你根据萌萌所给的如图所的内容,完成下列各小题.
(1)若m※n=1,m※2n=﹣2,分别求m和n的值;
(2)若m满足m※2≤0,且3m※(﹣8)>0,求m的取值范围.

查看答案和解析>>

科目:初中数学 来源: 题型:

【题目】某课外兴趣活动小组准备围建一个矩形苗圃园,其中一边靠墙,另外三边周长为30米的篱笆围成.已知墙长为18米(如图所示),设这个苗圃园垂直于墙的一边长为x米.

(1)若苗圃园的面积为72平方米,求x

(2)若平行于墙的一边长不小于8米,这个苗圃园的面积有最大值和最小值吗?如果有,求出最大值和最小值;如果没有,请说明理由;

(3)当这个苗圃园的面积不小于100平方米时,直接写出x的取值范围.

查看答案和解析>>

科目:初中数学 来源: 题型:

【题目】下列判断正确的是(  )

A. 一组对边平行,另一组对边相等的四边形一定是平行四边形

B. 两条对角线互相平分的四边形一定是平行四边形

C. 两组邻角分别互补的四边形一定是平行四边形

D. 两条对角线相等的四边形一定是平行四边形

查看答案和解析>>

科目:初中数学 来源: 题型:

【题目】(1)用代数式表示:“x的2倍与y的平方的差”

(2)当x=3,y= -1时,求(1)中代数式的值

查看答案和解析>>

科目:初中数学 来源: 题型:

【题目】下列运算正确的是(
A.
B.(﹣2)3=8
C.﹣|﹣3|=3
D.﹣22=﹣4

查看答案和解析>>

科目:初中数学 来源: 题型:

【题目】如图,在菱形ABCD中,对角线AC与BD相交于点O,MN过点O且与边AD、BC分别交于点M和点N.
(1)请你判断OM与ON的数量关系,并说明理由;
(2)过点D作DE∥AC交BC的延长线于E,当AB=5,AC=6时,求△BDE的周长.

查看答案和解析>>

科目:初中数学 来源: 题型:

【题目】一元二次方程x2-x-2=0的解是( )

A. x1=1x2=2B. x1=1x2=-2

C. x1=-1x2=-2.D. x1=-1x2=2.

查看答案和解析>>

科目:初中数学 来源: 题型:

【题目】长方形的面积是3a2-3ab+6a,一边长为3a,则它的另一条边长为(   )

A. 2a-b+2 B. a-b+2

C. 3a-b+2 D. 4a-b+2

查看答案和解析>>

同步练习册答案