精英家教网 > 初中数学 > 题目详情

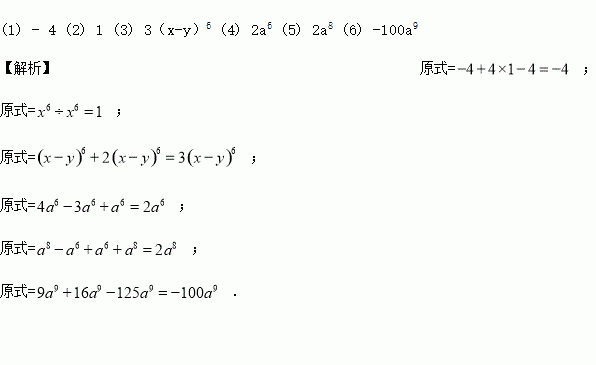
计算:

(1)

(2)(x2)3÷(x·x2)2

(3)(x-y) (y-x) (x-y)+2(x-y)

(4)(-2a3)2 -3a2•a4+a8÷a2

(5)

(6)

练习册系列答案
相关习题

科目:初中数学 来源: 题型:解答题

13.阅读下面的材料:
在平面几何中,我们学过两条直线平行的定义.下面就两个一次函数的图象所确定的两条直线给出它们平行的定义:设一次函数y=k1x+b1(k1≠0)的图象为直线l1,一次函数y=k2x+b2(k2≠0)的图象为直线l2,若k1=k2,且b1≠b2,我们就称直线l1与直线l2互相平行.
解答下面的问题:
(1)已知正比例函数y=-x的图象为直线l1,求过点P(1,3)且与已知直线l1平行的直线l2的函数表达式;
(2)设直线l2分别与y轴、x轴交于点A、B,求l1和l2两平行线之间的距离;
(3)若Q为OA上一动点,求QP+QB的最小值时Q点的坐标为Q(0,$\frac{12}{5}$).
(4)在x轴上找一点M,使△BMP为等腰三角形,求M的坐标.(直接写出答案)

查看答案和解析>>

科目:初中数学 来源: 题型:解答题

14.有一水池能装水1000升,现水池中有水500升,有一进水管每小时进水20升,水池中的水量y(升)随进水时间x(小时)的变化而变化.
(1)写出y与x的函数关系式;
(2)求进水10小时,水池中的水量.

查看答案和解析>>

科目:初中数学 来源: 题型:解答题

11.先化简再求值:(x+2y)(x-2y)-(x-2y)(x+y),其中x=-2,y=$\frac{1}{2}$.

查看答案和解析>>

科目:初中数学 来源:2016-2017学年江苏省句容市华阳片七年级下学期第一次月考数学试卷(解析版) 题型:判断题

如图,在△ABC中,CD⊥AB,垂足为D,点E在BC上,EF⊥AB,垂足为F.

(1)CD与EF平行吗?为什么?

(2)如果∠1=∠2,且∠3=115°,求∠ACB的度数.

查看答案和解析>>

科目:初中数学 来源:2016-2017学年江苏省句容市华阳片七年级下学期第一次月考数学试卷(解析版) 题型:单选题

下面是一名学生所做的4道练习题:

①(-3)0=1;② a3+a3=a6; ③ ;④ (xy 2) 3 = x 3y 6,他做对的个数是 ( )

A. 0 B. 1 C. 2 D. 3

查看答案和解析>>

科目:初中数学 来源: 题型:解答题

4.探究:如图1,在四边形ABCD中,∠BAD=∠BCD=90°,AB=AD,AE⊥CD于点E,若AE=10,求四边形ABCD的面积.
拓展:如图2,在四边形ABCD中,∠ABC+∠ADC=180°,AB=AD.AE⊥BC于点E,若AE=19,BC=10,CD=6,则四边形ABCD的面积为152.

查看答案和解析>>

科目:初中数学 来源: 题型:解答题

1.如图,已知DE⊥AB于E,∠D=∠B,EA=EF,求证:
(1)DE=BE;
(2)BC⊥AD.

查看答案和解析>>

科目:初中数学 来源: 题型:解答题

20.解不等式组$\left\{\begin{array}{l}{x-4≥3(x-2)}\\{\frac{7x+11}{3}-1>-x}\end{array}\right.$,并把它的解集在数轴上表示出来.

查看答案和解析>>

同步练习册答案