精英家教网 > 初中数学 > 题目详情

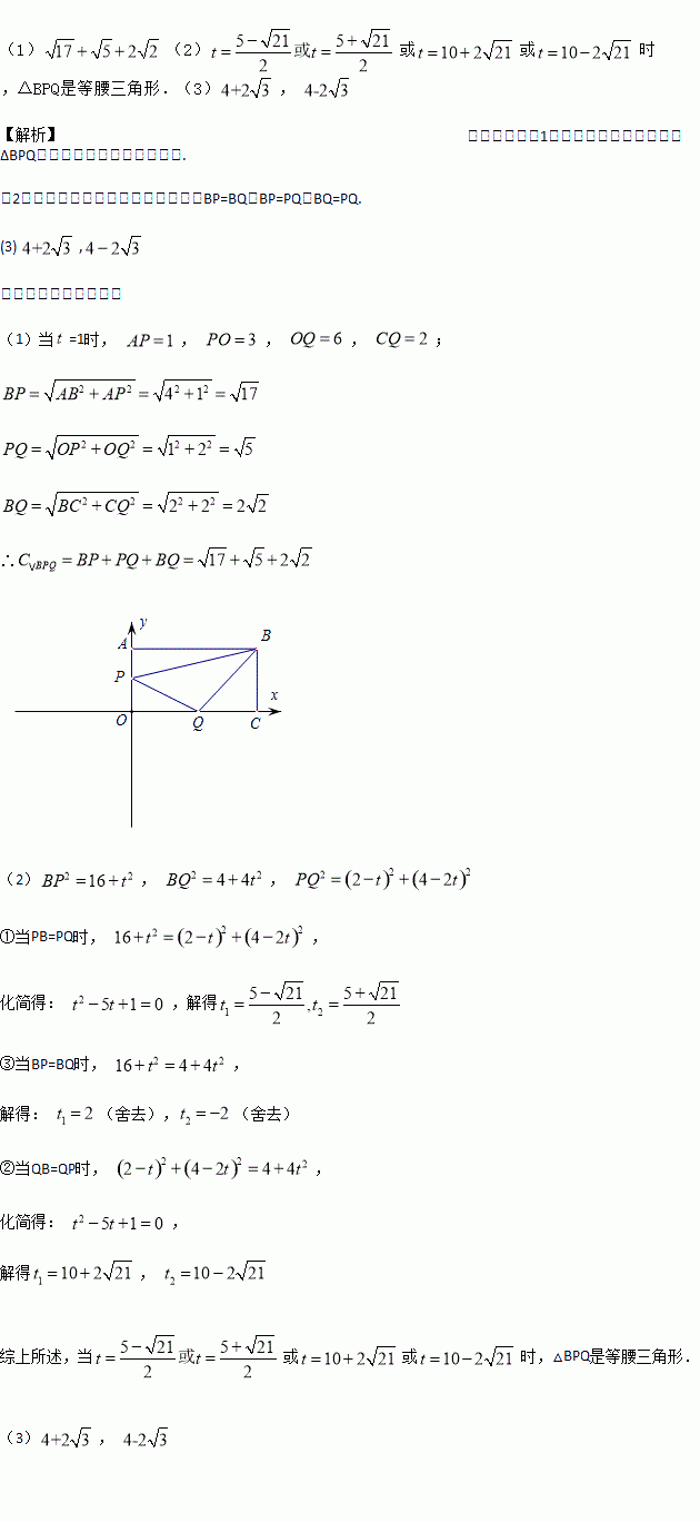
如图,长方形的边在坐标轴上, (0,2),(4,0).点从点出发,以每秒1个单位长度的速度沿射线方向运动,同时点从点出发,以每秒2个单位的速度沿射线方向运动.设点运动时间为秒().

(1)当时,求△的周长;

(2)当为何值时,△是等腰三角形;

(3)点关于的对称点为,当恰好落在直线上时,△的面积为__________.(直接写出结果)

练习册系列答案
相关习题

科目:初中数学 来源: 题型:解答题

6.已知,如图,在△ABC中,AD是BC边上的中线,分别以AB,AC为直角边向外作等腰直角三角形(其中∠BAE=∠CAF=90°,AE=AB,AC=AF),求证:EF=2AD.

查看答案和解析>>

科目:初中数学 来源: 题型:选择题

7.如图,已知AB=12,点C、D在AB上,且AC=DB=2,点P从点C沿线段CD向点D运动(运动到点D停止),以AP、BP为斜边在AB的同侧画等腰Rt△APE和等腰Rt△PBF,连接EF,取EF的中点G,下列说法中正确的有(  )
①△EFP的外接圆的圆心为点G;
②四边形AEFB的面积不变;
③EF的中点G移动的路径长为4.
A.0个B.1个C.2个D.3个

查看答案和解析>>

科目:初中数学 来源: 题型:解答题

4.如图,在锐角△ABC中,AD是BC边上的高,P是AD上的任意一点,设直线BP、CP分别交AC、AB于E、F,试证:∠ADE=∠ADF.

查看答案和解析>>

科目:初中数学 来源:2016-2017学年广东省东莞市堂星晨学校七年级3月月考数学试卷(解析版) 题型:单选题

如图,点O在直线AB上,且OC⊥OD,若∠COA=35°,则∠DOB的大小为(  )

A. 35° B. 45° C. 55° D. 65°

查看答案和解析>>

科目:初中数学 来源:2016-2017学年浙江省瑞安市五校联考八年级下学期第一次月考数学试卷(解析版) 题型:解答题

计算:

(1)÷

(2)

查看答案和解析>>

科目:初中数学 来源:2016-2017学年浙江省瑞安市五校联考八年级下学期第一次月考数学试卷(解析版) 题型:填空题

方程的根是__________.

查看答案和解析>>

科目:初中数学 来源:2017届江苏省盐都市九年级下学期第一次学情调研数学试卷(解析版) 题型:解答题

如图,一居民楼底部B与山脚P位于同一水平线上,小李在P处测得居民楼顶A的仰角为60°,然后他从P处沿坡角为45°的山坡向上走到C处,这时,PC=30 m,点C与点A恰好在同一水平线上,点A、B、P、C在同一平面内.

(1)求居民楼AB的高度;

(2)求C、A之间的距离.

(精确到0.1m,参考数据:,,

查看答案和解析>>

科目:初中数学 来源: 题型:解答题

19.如图,正方形网格中,△ABC的顶点及点O在格点上.画出与△ABC关于点O对称的△A′B′C′.

查看答案和解析>>

同步练习册答案