精英家教网 > 初中数学 > 题目详情

解下列方程

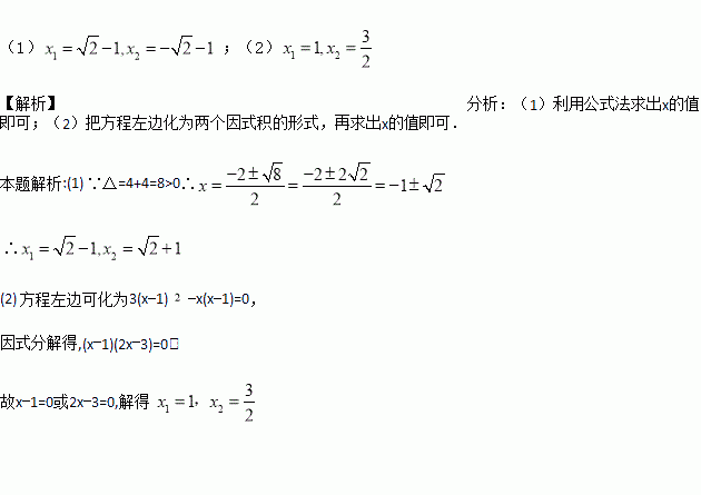
(1)x2+2x-1=0

(2)3(x-1)2=x(x-1)

练习册系列答案
相关习题

科目:初中数学 来源:2016-2017学年山东省临沂市蒙阴县七年级下学期期中考试数学试卷(解析版) 题型:单选题

估计的值在

A. 2和3之间 B. 3和4之间 C. 4和5之间 D. 5和6之间

查看答案和解析>>

科目:初中数学 来源:2016-2017学年山东省济南市槐荫区八年级下学期期中考试数学试卷(解析版) 题型:解答题

菜农小伟种植的某蔬菜计划以每千克5元的单价对外批发销售,由于部分菜农盲目扩大种植,造成该蔬菜滞销.小伟为了加快销售,减少损失,对价格经过两次下调后,以每千克3.2元的单价对外批发销售.

(1)求平均每次下调的百分率.

(2)小华准备到小伟处购买5吨该蔬菜,因数量多,小伟决定给予两种优惠方案以供选择:

方案一:打九折销售;

方案二:不打折,每吨优惠现金200元.

试问小华选择哪种方案更优惠?请说明理由.

查看答案和解析>>

科目:初中数学 来源:2016-2017学年山东省济南市槐荫区八年级下学期期中考试数学试卷(解析版) 题型:单选题

已知等腰三角形的腰和底的长分别是一元二次方程的根,则该三角形的周长为(  )

A. 8 B. 10 C. 8或10 D. 12

查看答案和解析>>

科目:初中数学 来源:2016-2017学年山东省济南市槐荫区八年级下学期期中考试数学试卷(解析版) 题型:单选题

下列方程是一元二次方程的是(  )

A. x2 -y=1 B. C. D.

查看答案和解析>>

科目:初中数学 来源:2016-2017学年安徽省蚌埠市等五校八年级下学期期中考试数学试卷(解析版) 题型:填空题

在实数范围内因式分【解析】
x4-9=________。

查看答案和解析>>

科目:初中数学 来源:2016-2017学年安徽省蚌埠市等五校八年级下学期期中考试数学试卷(解析版) 题型:单选题

下列每一组数据中的三个数值分别为三角形的三边长,不能构成直角三角形的是( )

A. 1、 B. 6、8、10

C. 5、12、13 D. 、2、

查看答案和解析>>

科目:初中数学 来源:2016-2017学年江苏连云港新海实验中学度第二学期九年级中考第一次模拟数学试卷(解析版) 题型:填空题

如图,△ABC中∠ABC=70°,∠BAC的外角平分线与∠ACB的外角的平分线交于点O,则∠ABO=_____度.

查看答案和解析>>

科目:初中数学 来源:2017届山东省九年级一轮复习验收考试数学试卷(解析版) 题型:解答题

如图,二次函数的图象与轴交于A(-1,0),B(3,0)两点,与y轴交于点C.该抛物线的顶点为M.

(1)求该抛物线的解析式;

(2)判断△BCM的形状,并说明理由.

(3)探究坐标轴上是否存在点P,使得以点P,A,C为顶点的三角形与△BCM相似?若存在,请求出点P的坐标,若不存在,请说明理由.

查看答案和解析>>

同步练习册答案