精英家教网 > 初中数学 > 题目详情

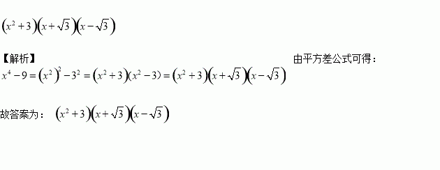
在实数范围内因式分【解析】
x4-9=________。

练习册系列答案
相关习题

科目:初中数学 来源:2016-2017学年山东省临沂市蒙阴县七年级下学期期中考试数学试卷(解析版) 题型:单选题

下列实数中,是无理数的为(  )

A. -3.567 B. 0.101001 C. D.

查看答案和解析>>

科目:初中数学 来源:2016-2017学年山东省济南市槐荫区八年级下学期期中考试数学试卷(解析版) 题型:解答题

(1)已知x1=3是关于x的一元二次方程x2-4x+c=0的一个根,求c的值和方程的另一个根.

(2)如图,在矩形ABCD中.点O在边AB上,∠AOC=∠BOD.求证:AO=OB.

查看答案和解析>>

科目:初中数学 来源:2016-2017学年山东省济南市槐荫区八年级下学期期中考试数学试卷(解析版) 题型:单选题

若关于的方程有一个根为1,则另一个根为(  )

A. ﹣4 B. 2 C. 4 D. ﹣3

查看答案和解析>>

科目:初中数学 来源:2016-2017学年安徽省蚌埠市等五校八年级下学期期中考试数学试卷(解析版) 题型:解答题

解下列方程

(1)x2+2x-1=0

(2)3(x-1)2=x(x-1)

查看答案和解析>>

科目:初中数学 来源:2016-2017学年安徽省蚌埠市等五校八年级下学期期中考试数学试卷(解析版) 题型:单选题

已知关于x的一元二次方程(a-1)x2-2x+1=0有两个不相等的实数根,则a的取值范围是( )

A. a>2 B. a<2

C. a<2且a≠1 D. a<-2

查看答案和解析>>

科目:初中数学 来源:2016-2017学年江苏连云港新海实验中学度第二学期九年级中考第一次模拟数学试卷(解析版) 题型:解答题

如图,在直角坐标系中,点A(0,6),B(8,0),点C是线段AB的中点,CD⊥OB交OB于D,Rt△EFH的斜边EH在射线AB上,顶点F在射线AB的左侧,EF∥OA,点E从点A出发,以每秒1个单位的速度向B运动,到点B停止,AE=EF,运动时间为t(s).

(1)在Rt△EFH中,EF= ,EH= ,点F坐标为( )(用含t的代数式表示)

(2)t为何值时,H与C重合?

(3)设△EFH与△CDB重叠部分图形的面积为S(S>0),求S与t的函数关系式。

(4)在整个运动过程中,Rt△EFH扫过的面积是多少?

查看答案和解析>>

科目:初中数学 来源:2016-2017学年江苏连云港新海实验中学度第二学期九年级中考第一次模拟数学试卷(解析版) 题型:填空题

分解因式: ______________

查看答案和解析>>

科目:初中数学 来源:2017届山东省九年级一轮复习验收考试数学试卷(解析版) 题型:解答题

为配合全市“禁止焚烧秸秆”工作,某学校举行了“禁止焚烧秸秆,保护环境,从我做起”为主题的演讲比赛. 赛后组委会整理参赛同学的成绩,并制作了如下不完整的频数分布表(图1)和频数分布直方图(图2).

请根据图表提供的信息,解答下列问题:

(1)表中的a= ,b= (2)请补全频数分布直方图;

(3)若用扇形统计图来描述成绩分布情况,则分数段70≤x<80对应的圆心角的度数是

(4)竞赛成绩不低于90分的4名同学中正好有2名男同学,2名女同学.学校从这4名同学中随机抽取2名同学接受电视台记者采访,则正好抽到一名男同学和一名女同学的概率为 .

查看答案和解析>>

同步练习册答案