精英家教网 > 初中数学 > 题目详情

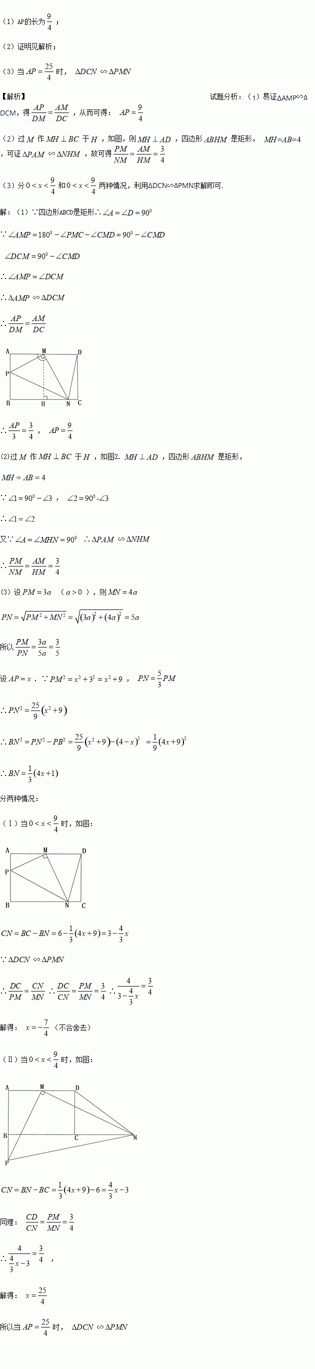
在矩形ABCD中,AB=4,AD=6,M是AD边的中点,P是射线AB上的一个动点(不与A、B重合),MN⊥PM交射线BC于N点.

(1)如图1,当点N与点C重合时,求:AP的长;

(2)如图2,在点N的运动过程中,求证: 为定值;

(3)在射线AB上,是否存在点P,使得,若存在,求此时AP的长;若不存在,请说明理由.

练习册系列答案
相关习题

科目:初中数学 来源:江苏省灌云县西片2017届九年级下学期第二次月考(5月)数学试卷 题型:解答题

某校决定对学生感兴趣的球类项目(A:足球,B:篮球,C:排球,D:羽毛球,E:乒乓球)进行问卷调查,学生可根据自己的喜好选修一门,李老师对某班全班同学的选课情况进行统计后,制成了两幅不完整的统计图(如图).

(1)该班学生人数有 人;

(2)将条形统计图补充完整;

(3)若该校共有学生3500名,请估计有多少人选修足球?

(4)该班班委5人中,1人选修篮球,3人选修足球,1人选修排球,李老师要从这5人中任选2人了解他们对体育选修课的看法,请你用列表或画树状图的方法,求选出的2人恰好1人选修篮球,1人选修足球的概率.

查看答案和解析>>

科目:初中数学 来源:江苏省2017届九年级5月学情了解(二模)数学试卷 题型:单选题

下列运算中正确的是( )

A. B.

C. D.

查看答案和解析>>

科目:初中数学 来源:【全国校级联考】浙江省嘉兴市十校2017届九年级5月联合模拟数学试卷 题型:填空题

函数中自变量的取值范围是______.

查看答案和解析>>

科目:初中数学 来源:【全国校级联考】浙江省嘉兴市十校2017届九年级5月联合模拟数学试卷 题型:单选题

京剧是我国的国粹,是介绍、传播中国传统艺术文化的重要媒介.在下面的四个京剧脸谱中,不是轴对称图形的是(  )

A. B. C. D.

查看答案和解析>>

科目:初中数学 来源:【全国区级联考】福建省仙游县第六片区2017届九年级毕业模拟数学试卷 题型:解答题

如图,在△ABC中,BC的垂直平分线交BC于点D,交AB延长线于点E,连接CE。

求证:∠BCE=∠A+∠ACB.

查看答案和解析>>

科目:初中数学 来源:【全国区级联考】福建省仙游县第六片区2017届九年级毕业模拟数学试卷 题型:填空题

如图,把一块含有45°角的直角三角板两个顶点放在直尺的对边上,如果∠1=20°,则∠2的度数是_______ .

查看答案和解析>>

科目:初中数学 来源:[中学联盟]四川省南充市第五中学2016-2017学年七年级下学期期中考试数学试卷 题型:填空题

如图,∠4+∠ADC =1800,且∠1=∠2,说明DG∥AB的理由。

【解析】
∵∠4+∠ADC =1800 (已知)

∠4+∠5 =1800 (平角定义)

∴ ∠5 =________ ( )

∴ _____∥______ (_________________________)

∴ ∠1=_____ (___________________________)

又∵ ∠1=∠2 (已知)

∴ ∠3 =______ (等量代换)

∴ DG∥AB (____________________________)

查看答案和解析>>

科目:初中数学 来源:[中学联盟]重庆市第四十二中学2016-2017学年七年级下学期期中考试数学试卷 题型:单选题

一个长方形在平面直角坐标系中,三个顶点的坐标分别是(﹣1,﹣1)、(﹣1,2)、(3,﹣1),则第四个顶点的坐标是( )

A. (2,2) B. (3,3) C. (3,2) D. (2,3)

查看答案和解析>>

同步练习册答案