精英家教网 > 初中数学 > 题目详情

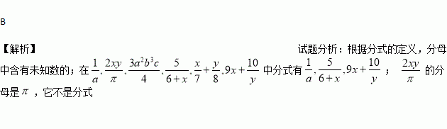
在式子中,分式的个数有( )

A. 2个 B. 3个 C. 4个 D. 5个

练习册系列答案
相关习题

科目:初中数学 来源:2017届山东省九年级学业水平模拟试卷(一)数学试卷(解析版) 题型:解答题

如图,四边形ABCD是边长为a的正方形,点G,E分别是边AB,BC的中点,∠AEF=90°,且EF交正方形外角的平分线CF于点F.

(1)证明:△AGE≌△ECF;

(2)连接GD,DF.判断四边形GEFD的形状,并说明理由;

查看答案和解析>>

科目:初中数学 来源:江苏省连云港市2017届九年级中考模拟(四)数学试卷 题型:单选题

若点A(﹣1,2),B(2,﹣3)在直线y=kx+b上,则函数y=的图象在(  )

A. 第一、三象限 B. 第一、二象限 C. 第二、四象限 D. 第二、三象限

查看答案和解析>>

科目:初中数学 来源:江苏省扬州市江都区邵樊片2016-2017学年八年级下学期第二次月考数学试卷 题型:填空题

已知关于的分式方程的解是非负数,则的取值范围是___

查看答案和解析>>

科目:初中数学 来源:江苏省扬州市江都区邵樊片2016-2017学年八年级下学期第二次月考数学试卷 题型:填空题

当a=2015时,分式的值是_______ .

查看答案和解析>>

科目:初中数学 来源:贵州省安顺市毕业第五次模拟考试数学试卷 题型:解答题

如图,AB是⊙O的直径,BC为⊙O的切线,D为⊙O上的一点,CD=CB,延长CD交BA的延长线于点E。

(1)求证:CD为⊙O的切线。

(2)若BD的弦心距OF=1,∠ABD=30度,求图中阴影部分的面积(结果保留∏)。

查看答案和解析>>

科目:初中数学 来源:贵州省安顺市毕业第五次模拟考试数学试卷 题型:填空题

如图,在△ABC中,∠ABC与∠ACD的平分线交于点A1, 得∠A1,∠A1BC与∠A1,CD的平分线交于点A2,得∠A2,……;∠A2016BC与∠A2016CD的平分线交于点A2017,则∠A2017=_______度.

查看答案和解析>>

科目:初中数学 来源:贵州省安顺市毕业第五次模拟考试数学试卷 题型:单选题

的相反数是( )

A. B. 3 C. D.

查看答案和解析>>

科目:初中数学 来源:江苏省南通通州区2017届九年级中考二模数学试卷 题型:填空题

9的算术平方根为____.

查看答案和解析>>

同步练习册答案