精英家教网 > 初中数学 > 题目详情
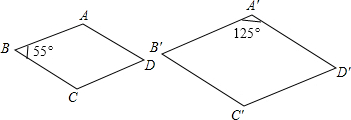
7.如图,两个菱形相似吗?说明理由.

分析 先根据菱形的性质得出AB=BC=CD=AD,A′B′=B′C′=C′D′=A′D′,再由∠B=55°,∠A′=125°得出∠A与∠B′的度数,由此可得出结论.

解答 解:相似.
理由:∵图中的四边形是菱形,
∴AB=BC=CD=AD,A′B′=B′C′=C′D′=A′D′.
∵∠B=55°,∠A′=125°,
∴∠A=125°,∠B′=55°,
∴两个菱形相似.

点评 本题考查的是相似多边形的性质,熟知如果两个多边形的对应角相等,对应边的比相等,则这两个多边形是相似多边形是解答此题的关键.

练习册系列答案
相关习题

科目:初中数学 来源: 题型:解答题

17.如图,在△ABC中,∠A=30°,∠B=45°,AB=12+12$\sqrt{3}$,求△ABC的面积.

查看答案和解析>>

科目:初中数学 来源: 题型:填空题

18.已知sinα=0.707,则锐角α≈44°59′24″.

查看答案和解析>>

科目:初中数学 来源: 题型:解答题

15.如图,已知正方形ABCD的边长为2,若将线段BD绕点B旋转后,点D落在CB的延长线上的D′处,试求tan∠BAD′的值.

查看答案和解析>>

科目:初中数学 来源: 题型:填空题

2.在△ABC中,∠C=90°,若sinA=$\frac{2}{3}$且AB=4,则AC=3.

查看答案和解析>>

科目:初中数学 来源: 题型:填空题

12.若方程组$\left\{\begin{array}{l}y=kx+3\\ y=(3k+1)x+2\end{array}$无解,则y=kx+3图象不经过第三象限.

查看答案和解析>>

科目:初中数学 来源: 题型:解答题

19.已知y+5与3x+4成正比例,且当x=1时,y=2.
(1)求出y与x的函数关系式;
(2)设点P(a,-2)在上述函数图象上,求P点的坐标;
(3)如果自变量x的取值范围是0≤x≤5,求函数值y的取值范围.

查看答案和解析>>

科目:初中数学 来源: 题型:解答题

16.如图,A,B两个村子在一条河的同侧,A,B两村到河岸的距离分别为AC=1km,BD=3km,其中CD=3km.现在要在河岸CD上建一个水厂,向A,B两个村庄输送自来水,请你在CD上选择水厂的位置O,使铺设的水管总长度最小?

查看答案和解析>>

科目:初中数学 来源: 题型:解答题

17.如图,在△ABC中,AB=AC,AM为△ABC底边上的中线,点D在BA的延长线上,E在AC上,且AD=AE,DE交BC于F,求证:DF⊥BC.

查看答案和解析>>

同步练习册答案