精英家教网 > 高中数学 > 题目详情

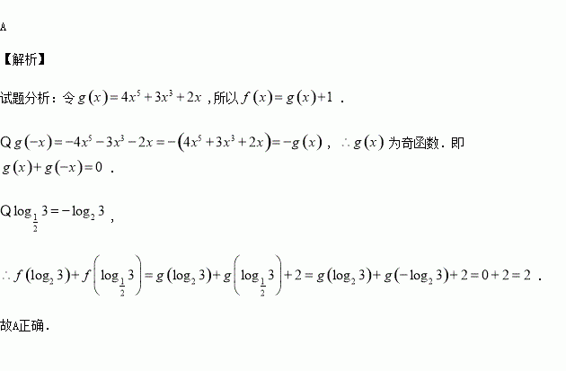
已知函数,则( )

A. B. C. D.

练习册系列答案
相关习题

科目:高中数学 来源:2015-2016学年辽宁省葫芦岛市高一上学期期中考试数学试卷(解析版) 题型:选择题

已知函数y=f(x)是偶函数,其图象与x轴有四个交点,则方程f(x)=0的所有实根之和是( )

A.0 B.1 C.2 D.4

查看答案和解析>>

科目:高中数学 来源:2015-2016学年江苏省大丰市高二上学期期中考试数学试卷(解析版) 题型:填空题

以下四个关于圆锥曲线的命题中:

①设为两个定点,为非零常数,,则动点的轨迹为双曲线;

②过定圆上一定点作圆的动弦,则弦中点P的轨迹为椭圆;

③方程的两根可分别作为椭圆和双曲线的离心率;

④双曲线与椭圆有相同的焦点.

其中真命题的序号为__________.(写出所有真命题的序号)

查看答案和解析>>

科目:高中数学 来源:2015-2016学年吉林省扶余市高二上学期期中考试理科数学试卷(解析版) 题型:选择题

在△中,角的对边分别是,若,则( )

A. B. C. D.

查看答案和解析>>

科目:高中数学 来源:2015-2016学年湖南省高二上学期期中考试理科数学试卷(解析版) 题型:选择题

已知命题则命题的否定形式是( )

A.

B.

C.

D.

查看答案和解析>>

科目:高中数学 来源:2015-2016学年福建省高二上学期期中考试文科数学试卷(解析版) 题型:选择题

在2和8之间插入3个数,使它们与这两个数依次构成等比数列,则这3个数的积为( )

A.64 B.±64 C.16 D.±16

查看答案和解析>>

科目:高中数学 来源:2015-2016学年福建省高二上学期期中考试理科数学试卷(解析版) 题型:选择题

下列命题正确的是( )

A.若,则

B.若,则

C.若,则

D.若,则

查看答案和解析>>

科目:高中数学 来源:2015-2016学年山东省临沂市高二上期中模拟理数学试卷(解析版) 题型:选择题

不等式的解集是( )

A. B.

C. D.

查看答案和解析>>

科目:高中数学 来源:2015-2016学年湖北省宜昌市高二上期中理科数学试卷(解析版) 题型:填空题

已知某商场新进3 000袋奶粉,为检查某维生素是否达标,现采用系统抽样的方法从中抽取150袋检查,若第1组抽出的号码是11,则第61组抽出的号码为__________.

查看答案和解析>>

同步练习册答案