精英家教网 > 高中数学 > 题目详情

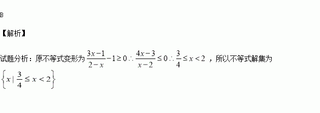
不等式的解集是( )

A. B.

C. D.

练习册系列答案
相关习题

科目:高中数学 来源:2015-2016学年山东省高一上学期期中模块考试数学试卷(解析版) 题型:解答题

某产品按质量分为10个档次,生产第一档(即最低档次)的利润是每件8元,每提高一个档次,利润每件增加2元,但每提高一个档次,在相同的时间内,产量减少3件。如果在规定的时间内,最低档次的产品可生产60件。

(1)请写出相同时间内产品的总利润与档次之间的函数关系式,并写出的定义域.

(2)在同样的时间内,生产哪一档次产品的总利润最大?并求出最大利润.

查看答案和解析>>

科目:高中数学 来源:2015-2016学年福建省高一上学期期中考试数学试卷(解析版) 题型:选择题

已知函数,则( )

A. B. C. D.

查看答案和解析>>

科目:高中数学 来源:2014-2015学年上海市高二下学期期末考试数学试卷(解析版) 题型:填空题

若五个人排成一排,则甲乙两人之间仅有一人的概率是 .(结果用数值表示)

查看答案和解析>>

科目:高中数学 来源:2015-2016学年山东省临沂市高二上期中模拟理数学试卷(解析版) 题型:解答题

(本小题14分)已知单调递增的等比数列{an}满足a2+a3+a4=28,且a3+2是a2,a4的等差中项.

(1)求数列{an}的通项公式;

(2)若bn=,Sn=b1+b2+…+bn,对任意正整数n,Sn+(n+m)an+1<0恒成立,试求m的取值范围.

查看答案和解析>>

科目:高中数学 来源:2015-2016学年辽宁省大连市高二上期中文科数学试卷(解析版) 题型:选择题

平面内到两定点的距离之差的绝对值等于的点的轨迹

(A)椭圆 (B)线段 (C)两条射线 (D)双曲线

查看答案和解析>>

科目:高中数学 来源:2015-2016学年江西省等三校高二上第一次联考数学试卷(解析版) 题型:解答题

(本小题满分12分)如图,四棱锥S—ABCD中,底面ABCD是菱形,其对角线的交点为O,且SA=SC,SA⊥BD

(1)求证:SO⊥平面ABCD;

(2)设∠BAD=60°,AB=SD=2,P是侧棱SD上的一点,且SB∥平面APC,求三棱锥A—PCD的体积.

查看答案和解析>>

科目:高中数学 来源:2015-2016学年湖南省高一上学期期中考试数学试卷(解析版) 题型:解答题

已知全集,集合

(1)用列举法表示集合A与B;

(2)求

查看答案和解析>>

科目:高中数学 来源:2016届重庆市高三上学期第三次月考理科数学试卷(解析版) 题型:选择题

已知满足约束条件则目标函数的最大值为( )

A.1 B.3 C. D.

查看答案和解析>>

同步练习册答案