精英家教网 > 高中数学 > 题目详情

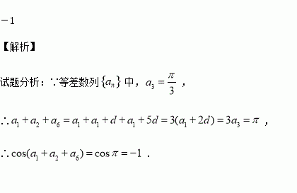
已知等差数列中,,则

练习册系列答案
相关习题

科目:高中数学 来源:2015-2016学年湖南省高二上学期期中考试文科数学试卷(解析版) 题型:选择题

命题“”的否定是( )

A.

B.

C.

D.

查看答案和解析>>

科目:高中数学 来源:2016届山东省枣庄市高三12月月考文科数学试卷(解析版) 题型:填空题

已知在中,内角所对应的边分别为,已知,若的面积为,则________.

查看答案和解析>>

科目:高中数学 来源:2016届甘肃省高三上第四次月考文科数学试卷(解析版) 题型:解答题

已知三棱柱,底面三角形为正三角形,侧棱底面的中点,中点.

(1)求证:直线平面

(2)求点到平面的距离.

查看答案和解析>>

科目:高中数学 来源:2016届甘肃省高三上第四次月考理科数学试卷(解析版) 题型:填空题

已知,则=_______________.

查看答案和解析>>

科目:高中数学 来源:2016届福建省高三上学期期中理科数学试卷(解析版) 题型:解答题

设函数

(Ⅰ)当时,解不等式

(Ⅱ)若的解集为求证:

查看答案和解析>>

科目:高中数学 来源:2016届福建省高三上第二次月考文科数学试卷(解析版) 题型:选择题

设变量满足约束条件,若目标函数的最大值为14,则值为( )

A.1 B. C. D.

查看答案和解析>>

科目:高中数学 来源:2015-2016学年西藏日喀则一中高二12月理科数学试卷(解析版) 题型:选择题

从1,2,3,4,这4个数中,不放回地任取两个数,两个数都是偶数的概率是( )

A. B. C. D.

查看答案和解析>>

科目:高中数学 来源:2015-2016学年江西省高二上期中文科数学试卷(解析版) 题型:解答题

如图,已知抛物线上点到焦点的距离为3,直线交抛物线两点,且满足。圆是以为圆心,为直径的圆。

(1)求抛物线和圆的方程;

(2)设点为圆上的任意一动点,求当动点到直线的距离最大时的直线方程。

查看答案和解析>>

同步练习册答案