数学英语物理化学 生物地理
数学英语已回答习题未回答习题题目汇总试卷汇总练习册解析答案
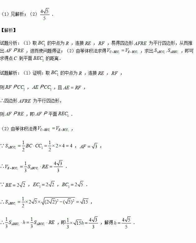
已知三棱柱,底面三角形为正三角形,侧棱底面,,,为的中点,为中点.
(1)求证:直线平面;
(2)求点到平面的距离.
科目:高中数学 来源:2015-2016学年湖北省襄阳市等高一上学期期中联考数学试卷(解析版) 题型:解答题
已知集合.
(1)当时,求;
(2)如果,求的取值范围.
科目:高中数学 来源:2016届辽宁省大连市高三12月月考理科数学试卷(解析版) 题型:解答题
已知数列的前项和为,且,()求:
(1)数列的通项公式;
(2)若 ,求数列的前项和.
科目:高中数学 来源:2016届河北省邯郸市高三一轮收官考试一文科数学试卷(解析版) 题型:填空题
已知点满足,过点的直线与圆相交于,两点,则的最小值为 .
科目:高中数学 来源:2016届河北省邯郸市高三一轮收官考试一理科数学试卷(解析版) 题型:填空题
若函数在上可导,,则 .
科目:高中数学 来源:2016届甘肃省高三上第四次月考理科数学试卷(解析版) 题型:解答题
设.
(1) 当时,取到极值,求的值;
(2)当满足什么条件时,在区间上有单调递增区间?
科目:高中数学 来源:2016届福建省高三上学期期中文科数学试卷(解析版) 题型:选择题
已知等差数列中,,则 .
科目:高中数学 来源:2016届福建省高三上第二次月考理科数学试卷(解析版) 题型:选择题
设分别为和椭圆上的点,则两点间的最大距离是( )
A. B. C. D.
科目:高中数学 来源:2015-2016学年江西省高一创新上期中数学卷(解析版) 题型:选择题
下列给出的同组函数中,表示同一函数的是( )
A.(1)、 (2) B.(2) C.(1)、(3) D.(3)
国际学校优选 - 练习册列表 - 试题列表
湖北省互联网违法和不良信息举报平台 | 网上有害信息举报专区 | 电信诈骗举报专区 | 涉历史虚无主义有害信息举报专区 | 涉企侵权举报专区