精英家教网 > 高中数学 > 题目详情

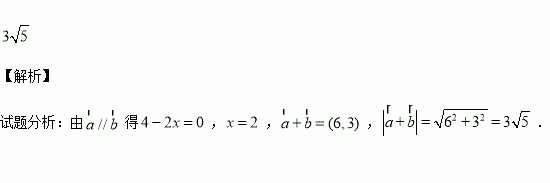
已知向量,若,则_________.

练习册系列答案
相关习题

科目:高中数学 来源:2016届山西省榆林市高三二模理科数学试卷(解析版) 题型:填空题

如果复数是纯虚数,则的值为________.

查看答案和解析>>

科目:高中数学 来源:2016届吉林省高三五模理科数学试卷(解析版) 题型:解答题

已知抛物线,过点的动直线交抛物线于两点,当直线的斜率为-1时,点恰为的中点

(1)求抛物线的方程;

(2)抛物线上是否存在一个定点,使得以弦为直径的圆恒过点,若存在,求出点坐标,若不存在,请说明理由

查看答案和解析>>

科目:高中数学 来源:2016届吉林省高三五模理科数学试卷(解析版) 题型:选择题

下列结论错误的是( )

A.命题“若,则”与命题“若,则”互为逆否命题

B.命题是自然对数的底数),命题,则为真

C.“”是“”成立的必要不充分条件

D.若为假命题,则均为假命题

查看答案和解析>>

科目:高中数学 来源:2015-2016学年贵州遵义一中高二下联考理科数学试卷(解析版) 题型:解答题

在一次考试中,5名同学的数学、物理成绩如下表所示:

学生

数学(分)

89

91

93

95

97

物理(分)

87

89

89

92

93

(1)根据表中数据,求物理分对数学分的回归直线方程;

(2)要从4名数学成绩在90分以上的同学中选出2名参加一项活动,以表示选中的同学中物理成绩高于90分的人数,求随机变最的分布列及数学期望.

附:回归方程,其中为样本平均数.

查看答案和解析>>

科目:高中数学 来源:2015-2016学年贵州遵义一中高二下联考理科数学试卷(解析版) 题型:选择题

直线与圆有两个不同交点的一个充分不必要条件是( )

A. B. C. D.

查看答案和解析>>

科目:高中数学 来源:2015-2016学年贵州遵义一中高二下联考理科数学试卷(解析版) 题型:选择题

设全集,集合,则( )

A. B. C. D.

查看答案和解析>>

科目:高中数学 来源:2016届安徽省高三最后一卷文科数学试卷(解析版) 题型:选择题

已知,若,则等于( )

A.-2 B.-1 C.0 D.1

查看答案和解析>>

科目:高中数学 来源:2015-2016学年河北邢台一中高二6月月考理科数学试卷(解析版) 题型:填空题

,若的充分不必充要条件,则实数的取值范围是

查看答案和解析>>

同步练习册答案