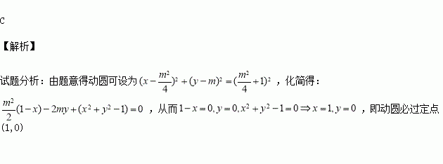
精英家教网 > 高中数学 > 题目详情

已知动圆圆心在抛物线y2=4x上,且动圆恒与直线x=-1相切,则此动圆必过定点( ).

A.(2,0) B.(0,1) C. (1,0) D.(0,-1)

练习册系列答案
相关习题

科目:高中数学 来源:2015-2016学年江苏省高一下期中数学试卷(解析版) 题型:填空题

已知角终边上一点,则________.

查看答案和解析>>

科目:高中数学 来源:2015-2016学年云南省高二4月月考文科数学卷(解析版) 题型:选择题

已知抛物线C:的焦点为F,准线与x轴的交点为K,点A在C上,且|AK|=|AF|,则△AFK的面积为( )

A.4 B.8 C.16 D.32

查看答案和解析>>

科目:高中数学 来源:2015-2016学年云南省高二4月月考理科数学卷(解析版) 题型:填空题

,则f(2 014)=________.

查看答案和解析>>

科目:高中数学 来源:2015-2016学年云南省高二4月月考理科数学卷(解析版) 题型:选择题

设曲线在点(3,2)处的切线与直线ax+y+1=0垂直,则a=( ).

A.2 B.-2 C. D.

查看答案和解析>>

科目:高中数学 来源:2016届江苏省苏州大学高考考前指导卷2数学试卷(解析版) 题型:解答题

已知函数(e为自然对数的底数,e).

(1)当时,求的单调区间和极值;

(2)①若对于任意,都有成立,求k的取值范围;②若,且,证明:

查看答案和解析>>

科目:高中数学 来源:2016届江苏省苏州大学高考考前指导卷2数学试卷(解析版) 题型:填空题

在△ABC中,角A,B,C所对的边分别为a,b,c,,则

查看答案和解析>>

科目:高中数学 来源:2016届江苏省苏州大学高考考前指导卷1数学试卷(解析版) 题型:填空题

已知不等式对任意恒成立,其中是整数,则的取值的集合为

查看答案和解析>>

科目:高中数学 来源:2015-2016学年河北武邑中学高二下5.8周考文科数学卷(解析版) 题型:解答题

已知,且.求证:.

查看答案和解析>>

同步练习册答案