精英家教网 > 高中数学 > 题目详情

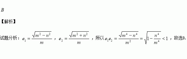
设椭圆,双曲线,(其中)的离心率分别为 ,则

A. B.

C. D.与1大小不确定

练习册系列答案
相关习题

科目:高中数学 来源:2016届江苏省高三12月月考数学试卷(解析版) 题型:填空题

等比数列的首项,前项的和为,若,则_________.

查看答案和解析>>

科目:高中数学 来源:2015-2016学年广东茂名十七中高二下学期期末数学(理)试卷(解析版) 题型:填空题

已知,则 _________

查看答案和解析>>

科目:高中数学 来源:2017届河北省五个一推荐高三上学期一模数学(文)试卷(解析版) 题型:解答题

如图,已知抛物线,过焦点斜率大于零的直线交抛物线于两点,且与其准线交于点

(Ⅰ)若线段的长为,求直线的方程;

(Ⅱ)在上是否存在点,使得对任意直线,直线的斜率始终成等差数列,若存在求点的坐标;若不存在,请说明理由.

查看答案和解析>>

科目:高中数学 来源:2017届河北省五个一推荐高三上学期一模数学(文)试卷(解析版) 题型:填空题

设△的内角所对的边长分别为,若,则 的值为

查看答案和解析>>

科目:高中数学 来源:2017届河北省五个一推荐高三上学期一模数学(文)试卷(解析版) 题型:选择题

设等差数列的前项和为 是方程的两个根,则

A. B. C. D.

查看答案和解析>>

科目:高中数学 来源:2016届河南六市高三第二次联考数学(文)试卷(解析版) 题型:解答题

已知椭圆.

(1)求椭圆C的离心率;

(2)设O为原点,若点A在椭圆上,点B在直线x=4上,且,求直线AB截圆所得弦长.

查看答案和解析>>

科目:高中数学 来源:2016届河南六市高三第二次联考数学(文)试卷(解析版) 题型:选择题

下列函数中既是奇函数又在区间[-1,1]上单调递减的是( )

A. B. C. D.

查看答案和解析>>

科目:高中数学 来源:2016-2017学年河北石家庄市高三文9月摸底数学试卷(解析版) 题型:选择题

若函数在区间上单调递减,则实数的取值范围为

A. B. C. D.

查看答案和解析>>

同步练习册答案