精英家教网 > 高中数学 > 题目详情

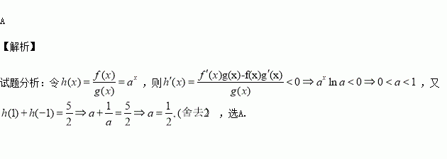
已知都是定义在上的函数,且满足以下条件:

,②,③,若,则等于( )

A. B.2 C. D.2或

练习册系列答案
相关习题

科目:高中数学 来源:2015-2016学年河南南阳一中高二下第二次月考文科数学卷(解析版) 题型:填空题

已知复数满足,则复数

查看答案和解析>>

科目:高中数学 来源:2015-2016学年山东省高一6月月考数学试卷(解析版) 题型:解答题

给出下列命题:

①函数是奇函数;

②函数的图象关于点成中心对称;

③若是第一象限角且,则

是函数的一条对称轴;

其中正确命题的序号为 .(用数字作答)

查看答案和解析>>

科目:高中数学 来源:2016届安徽省高三下学期冲刺模拟文科数学A卷(解析版) 题型:解答题

选修4-4:坐标系与参数方程

极坐标系与直角坐标系有相同的长度单位,以原点为极点,以轴正半轴为极轴.已知直线的参数方程为为参数),曲线的极坐标方程为.

(1)求的直角坐标方程;

(2)设直线与曲线交于两点,求弦长.

查看答案和解析>>

科目:高中数学 来源:2016届安徽省高三下学期冲刺模拟文科数学A卷(解析版) 题型:填空题

若点在直线上,过点的直线与曲线只有一个公共点,则的最小值为____________.

查看答案和解析>>

科目:高中数学 来源:2016届安徽省高三下学期冲刺模拟文科数学A卷(解析版) 题型:选择题

将函数的图象向左平移个单位,再向上平移1个单位,所得图象的函数解析式是( )

A. B.

C. D.

查看答案和解析>>

科目:高中数学 来源:2016届安徽省高三下学期冲刺模拟理科数学A卷(解析版) 题型:解答题

选修4-4:坐标系与参数方程

在以坐标原点为极点,轴的正半轴为极轴建立的极坐标系中,曲线的极坐标方程为,正三角形的顶点都在上,且依逆时针次序排列,点的坐标为.

(1)求点的直角坐标;

(2)设是圆上的任意一点,求的取值范围.

查看答案和解析>>

科目:高中数学 来源:2016届安徽省高三下学期冲刺模拟理科数学A卷(解析版) 题型:选择题

设实数列分别是等差数列与等比数列,且,则以下结论正确的是( )

A. B. C. D.

查看答案和解析>>

科目:高中数学 来源:2016届安徽省高三下学期冲刺模拟理科数学C卷(解析版) 题型:填空题

的展开式中,的系数为 .( 用数字填写答案)

查看答案和解析>>

同步练习册答案