精英家教网 > 高中数学 > 题目详情
如图,在四棱锥P-ABCD中,底面ABCD是矩形,PA⊥ABCD,PA=AD=4,AB=2,M为PD的中点,求直线PC与平面ABM所成的角的正弦值。

解:如图所示,以A为坐标原点,
AB、AD、AP为Ox,Oy,Oz轴建立空间直角坐标系,


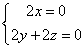
设平面ABM的一个法向量

可得
令z=-1,则y=1,

设所求角为α,
练习册系列答案
相关习题

科目:高中数学 来源: 题型:

精英家教网如图,在四棱锥P-ABCD中,底面ABCD是矩形.已知AB=3,AD=2,PA=2,PD=2
2
,∠PAB=60°.
(1)证明AD⊥PB;
(2)求二面角P-BD-A的正切值大小.

查看答案和解析>>

科目:高中数学 来源: 题型:

如图,在四棱锥P-ABCD中,PA⊥平面ABCD,四边形ABCD为正方形,AB=4,PA=3,点A在PD上的射影为点G,点E在AB上,平面PEC⊥平面PDC.
(1)求证:AG∥平面PEC;
(2)求AE的长;
(3)求二面角E-PC-A的正弦值.

查看答案和解析>>

科目:高中数学 来源: 题型:

如图,在四棱锥P-ABCD中,PA⊥底面ABCD,∠BCD=120°,BC⊥AB,CD⊥AD,BC=CD=PA=a,
(Ⅰ)求证:平面PBD⊥平面PAC.
(Ⅱ)求四棱锥P-ABCD的体积V.

查看答案和解析>>

科目:高中数学 来源: 题型:

如图,在四棱锥P-ABCD中,底面是边长为a的菱形,∠ABC=60°PD⊥面ABCD,PC=a,E为PB中点
(1)求证;平面ACE⊥面ABCD;
(2)求三棱锥P-EDC的体积.

查看答案和解析>>

科目:高中数学 来源: 题型:

(2008•武汉模拟)如图,在四棱锥P-ABCD中,底面ABCD是直角梯形,BC∥AD,且∠BAD=90°,又PA⊥底面ABCD,BC=AB=PA=1,AD=2.
(1)求二面角P-CD-A的平面角正切值,
(2)求A到面PCD的距离.

查看答案和解析>>

同步练习册答案